chevron_left
chevron_right
Todo
Apuntes
Ejercicios
Prácticas
chevron_left
chevron_right

He publicado nuevos apuntes de 1º Química I: fuerzas-intermoleculares.pdf

7 páginas

He publicado nuevos apuntes de 1º Química I: Examen-quimica-I-2223-resuelto.pdf

2 páginas

apuntes

-

Apuntes + ejercicios

He publicado nuevos apuntes de 1º Química I: Apuntes + ejercicios

Ejercicios-T7.pdf
Ejercicios-T6.pdf
Ejercicios-T5.pdf
Ejercicios-Primer-Parcial.pdf
Apuntes-Segundo-Parcial.pdf
Apuntes-Primer-Parcial.pdf

apuntes

-

QUÍMICA T4 ESTADOS DE AGREGACIÓN DE

He publicado nuevos apuntes de 1º Química I: QUÍMICA T4 ESTADOS DE AGREGACIÓN DE

QUIMICA-T4-ESTADOS-DE-AGREGACION-DE.pdf
CAMBIO-DE-FASE.pdf
Documentos-escaneados-12.pdf

practicas

-

Informes laboratorio

Informes laboratorio y cuestiones

Laboratorio-Quimica-1.pdf
Laboratorio-Quimica-2.pdf

Apuntes de teoría para los ejercicios

2 páginas

ejercicios

-

Química I

Ejercicios de clase resueltos

Tema-1-La-estructura-atomica.pdf
Tema-2-Enlace-covalente.pdf
Tema-3-Enlace-ionico.pdf
Tema-4-Estados-de-agregacion-de-la-mate.pdf
Tema-5-Estequiometria-y-fundamentos-de.pdf
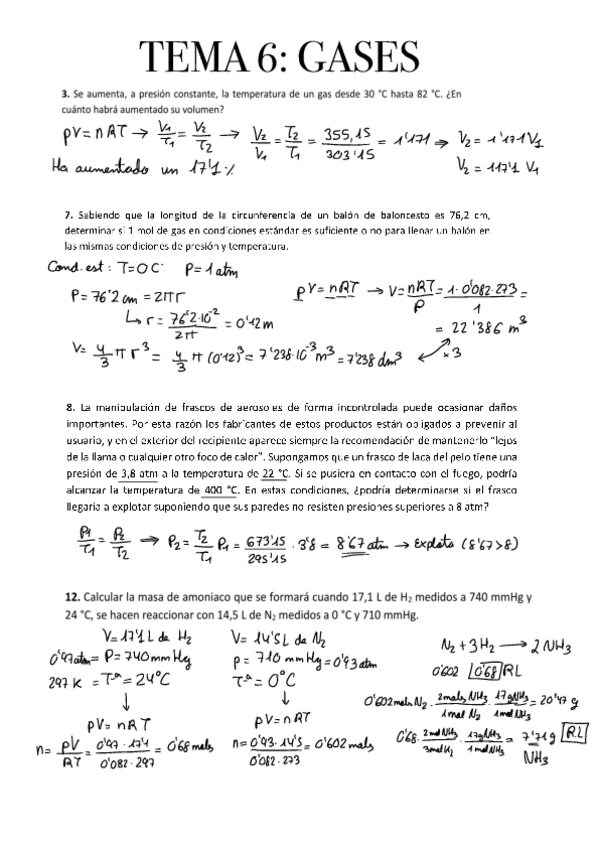
Tema-6-Gases.pdf
Anónimo

@Anónimo

He publicado nuevos practicas de 1º Química I: Practicas-de-laboratorio-I.pdf

6 páginas
¡Estás al día!

¡Estás al día!

Has visto todos los archivos