Todo
Apuntes
Preguntas
Ejercicios
Prácticas
Trabajos
chevron_left
chevron_right

ejercicios

-

Cuestionarios resueltos 2025

He publicado nuevos ejercicios de 1º Química II: Cuestionarios resueltos 2025

Cuestionario1CineticaQuimica.pdf

Euskara

2 páginas

Euskara

1 página

Euskara

2 páginas

Euskara

3 páginas

Euskara

3 páginas

Euskara

2 páginas

Euskara

3 páginas

Euskara

3 páginas

Euskara

4 páginas

apuntes

-

Kimika II Apunteak

He publicado nuevos apuntes de 1º Química II: Kimika II Apunteak

Kimika-II-1.-Gaiko-Apunteak.pdf
Kimika-II-2.-Gaiko-Apunteak.pdf
Kimika-II-3.-Gaiko-Apunteak.pdf
Kimika-II-4.-Gaiko-Apunteak.pdf
Kimika-II-5.-Gaiko-Apunteak.pdf
Kimika-II-6.-Gaiko-Apunteak.pdf

apuntes

-

Apuntes castellano 2021

He publicado nuevos apuntes de 1º Química II: Apuntes castellano 2021

T1-CineticaQuimica.pdf.pdf
T2-TermodinamicaQuimica.pdf.pdf
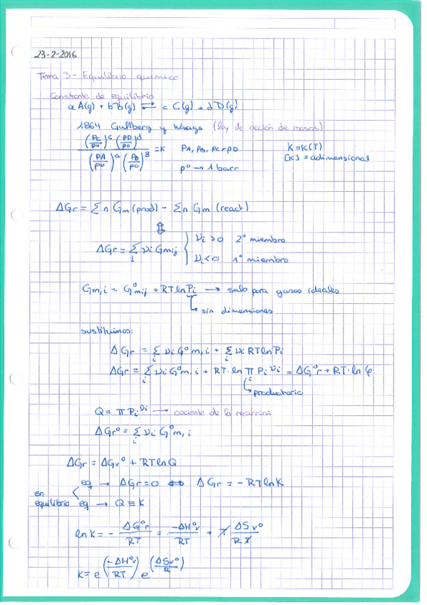
T3-EquilibrioQuimico.pdf.pdf
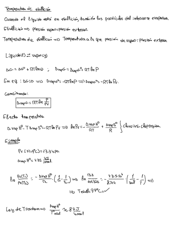
T4-EquilibrioDeFasesDeSustanciasPuras.pdf.pdf
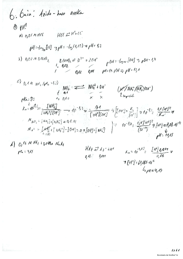
T5-EquilibrioAcidoBase.pdf.pdf
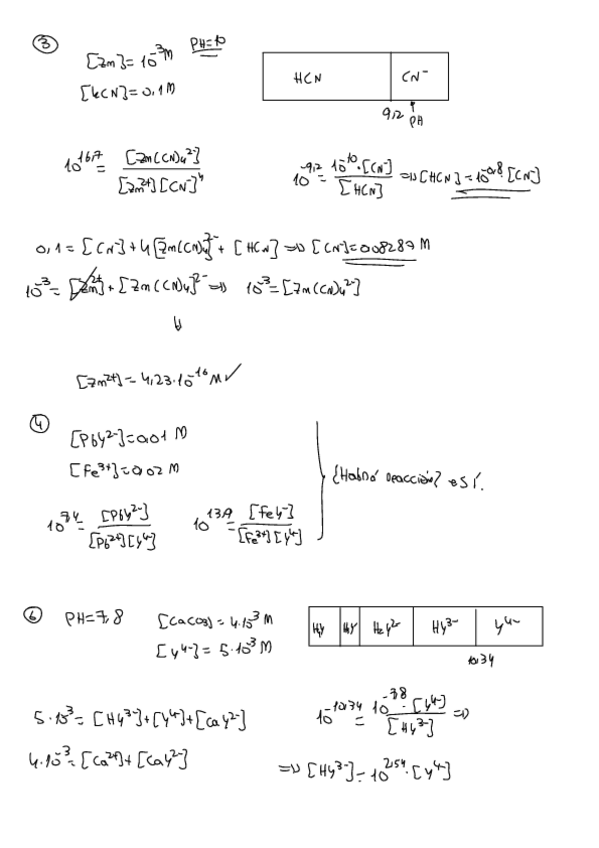
T6-EquilibrioDeFormacionDeComplejos.pdf.pdf

ejercicios

-

Ejercicios Quimica II en general

He publicado nuevos ejercicios de 1º Química II: Ejercicios Quimica II en general

Acido-Base-2.pdf
Complejos.pdf
Equilibrio-Fases.pdf
Equilibrio.pdf
Formulas.pdf
Precipitacion.pdf

ejercicios

-

Qumica Analítica

He publicado nuevos ejercicios de 1º Química II: Qumica Analítica

Acido-Base-Ejercicios.pdf
acido-base-1.pdf
Acido-Base.pdf
complejos-1.pdf
Ejercicios-Acido-Base.pdf
Ejercicios-Formacion-De-Complejos.pdf

ejercicios

-

Quimica Física II ejercicios

He publicado nuevos ejercicios de 1º Química II: Quimica Física II ejercicios

Cinetica-Quimica-Ejemplos.pdf
Cinetica-Quimica.pdf
Ejercicios-Tema-1.pdf
Ejercicios-Tema-2.pdf
Ejercicios-Tema-3.pdf
Ejercicios-Tema-4.pdf

apuntes

-

QUÍMICA II

He publicado nuevos apuntes de 1º Química II: QUÍMICA II

4.-FASES.pdf
3.-EQUILIBRIO-QUIMICO.pdf
2.-TERMODINAMICA.pdf
1.-CINETICA-QUIMICA.pdf
2.-BLOQUE.pdf

ejercicios

-

Kimika II 1-8 gaien ariketak

1-8 gaien ariketen enuntziatuak eta hauek eginda

1-Gaiko-Ariketak.pdf
2-Gaiko-Ariketak.pdf
3-Gaiko-Ariketak.pdf
5-Gaiko-Ariketak.pdf
6-Gaiko-Ariketak.pdf
7-Gaiko-Ariketak.pdf

He publicado nuevos apuntes de 1º Química II: SEGUNDO-PARCIAL-2022.pdf

6 páginas

He publicado nuevos apuntes de 1º Química II: SEGUNDO-PARCIAL-2021.pdf

6 páginas

He publicado nuevos apuntes de 1º Química II: SEGUNDO-PARCIAL-2019.pdf

5 páginas

He publicado nuevos ejercicios de 1º Química II: acido-base.pdf

14 páginas

He publicado nuevos apuntes de 1º Química II: redox.pdf

15 páginas

He publicado nuevos apuntes de 1º Química II: complejos.pdf

5 páginas

apuntes

-

Kimika II gaien laburpenak

He publicado nuevos apuntes de 1º Química II: Kimika II gaien laburpenak

Zinetika-kimikoa.pdf

apuntes

-

Kimika II

Apuntes y ejercicios Kimika II (Euskera)

Kimika-Fisikoa.pdf
Kimika-Analitikoa.pdf
Ariketak-Kimika-Fisikoa.pdf
Ariketak-kimika-analitikoa.pdf

He publicado nuevos apuntes de 1º Química II: TEMA3y4-Eq-quimico-y-fases.pdf

13 páginas

He publicado nuevos apuntes de 1º Química II: TEMA2-Termodinamica.pdf

20 páginas

He publicado nuevos apuntes de 1º Química II: TEMA1-cinetica-quimica.pdf

25 páginas

He publicado nuevos apuntes de 1º Química II: EQUILIBRIOSen-DISOLUCIAN.pdf

4 páginas

He publicado nuevos apuntes de 1º Química II: Tema-4-Fases.pdf

20 páginas

He publicado nuevos apuntes de 1º Química II: Tema-3-Equilibrio.pdf

15 páginas

He publicado nuevos apuntes de 1º Química II: Tema-2-TermodinAmica.pdf

40 páginas

He publicado nuevos apuntes de 1º Química II: Tema-1-CinActica.pdf

37 páginas

He publicado nuevos practicas de 1º Química II: YODOMETRIA.pdf

9 páginas

He publicado nuevos practicas de 1º Química II: Copia-de-ENTALPIA-DE-NEUTRALIZACION-Y-DE-DISOLUCON-1.pdf

11 páginas

He publicado nuevos trabajos de 1º Química II: Ainara-Suso-Tarea-4.pdf

10 páginas

He publicado nuevos apuntes de 1º Química II: Practica.pdf

5 páginas

apuntes

-

Cinética Quimica Esquemas

He publicado nuevos apuntes de 1º Química II: Cinética Quimica Esquemas

Cinetica-Quimica.pdf

He publicado nuevos apuntes de 1º Química II: Nuevo-documento16.pdf

4 páginas

He publicado nuevos apuntes de 1º Química II: Nuevo-documento15.pdf

1 página

He publicado nuevos apuntes de 1º Química II: Nuevo-documento11.pdf

9 páginas

He publicado nuevos apuntes de 1º Química II: Nuevo-documento10.pdf

6 páginas

He publicado nuevos apuntes de 1º Química II: Quimica-II.pdf

27 páginas

apuntes

-

quimica II

He publicado nuevos apuntes de 1º Química II: quimica II

Tema 1 TEORIA cinetica quimica.pdf
Tema 2 EJERCICIOS termodinamica quimica.pdf
Tema 2 TEORIA termodinamica quimica.pdf
Tema 3 EJERCICIOS equilibrio quimico.pdf
Tema 3 TEORIA equilibrio quimico.pdf
Resumen de formulas.pdf
¡Estás al día!

¡Estás al día!

Has visto todos los archivos