Química II

chevron_left
chevron_right
Todo
Exámenes
chevron_left
chevron_right
Anónimo

@Anónimo

examenes

-

resolucion examenes quimica 2 bach

soluciones de ejercicios de examenes hechos durante el curso de 2 bach

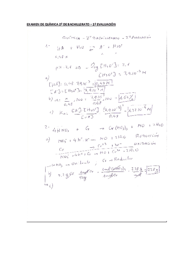
QUIMICA-2o-SOLUCION-EXAMEN-3a-EV.pdf
examen22qd2011.pdf
SOLUCION-2o-QUIMICA-1a-EVALUACION-2012-13.pdf
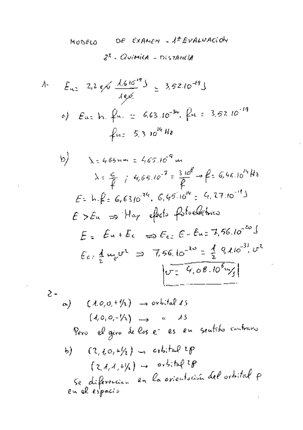
2qd1evsolucionmodeloexamen.pdf
solucionmodelo1ev2q2010.pdf
SOLUCION-examenquim22ev.pdf
¡Estás al día!

¡Estás al día!

Has visto todos los archivos