Todo
Apuntes
Ejercicios
chevron_left
chevron_right

Bachillerato de Ciencias y Tecnología

3 páginas

Bachillerato de Ciencias y Tecnología

5 páginas

ejercicios

-

Deures Nadal

Correccions dels deures de Nadal

Solució exercici 5
Solució exercici 2
Solució exercici 7
Solució exercici 3
Solució exercici 4
Solució exercici 1

ejercicios

-

Solucions - 2n Batxillerat

Solucions de totes les activitats del curs de química. Soluciones de todas las actividades del curso de química.

Solucions ex. Redox
Solucions ex. Equilibris de Solubilitat
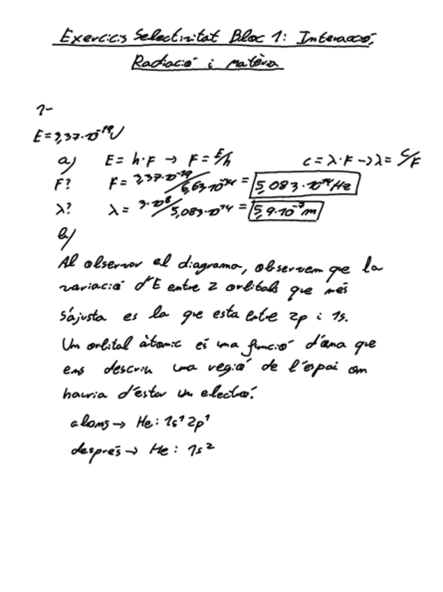
Solucions ex. Materia
Solucions ex. Reaccions àcid-base
Solucions ex. Termodinàmica
Solucions ex. Equilibri químic

apuntes

-

Química - 2n Batxillerat

Apunts complerts dels temaris de química

Unitat 4. Reaccions Redox
Unitat 6. Materia Bloc 3
Unitat 6. Materia Bloc 2
Unitat 5. Equilibris de Solubilitat
Unitat 1. Termodinàmica
Unitat 6. Materia Bloc 1

ejercicios

-

Setmana Santa

Solucions del deures de Nadal

Solucions exercicis Setmana Santa
¡Estás al día!

¡Estás al día!

Has visto todos los archivos