Química Industrial
practicas
-
PRACTICAS Y SEMINARIOS
He publicado nuevos practicas de 3º Química Industrial: PRACTICAS Y SEMINARIOS
ejercicios
-
EJERCICIOS y CUESTIONES TEMA 3
He publicado nuevos ejercicios de 3º Química Industrial: EJERCICIOS y CUESTIONES TEMA 3
ejercicios
-
EJERCICIOS y CUESTIONES TEMA 2
He publicado nuevos ejercicios de 3º Química Industrial: EJERCICIOS y CUESTIONES TEMA 2
ejercicios
-
EJER ISOMERIA 2 RESUELTOS
He publicado nuevos ejercicios de 3º Química Industrial: EJER ISOMERIA 2 RESUELTOS
ejercicios
-
EJER ISOMERIA 1 RESUELTOS
He publicado nuevos ejercicios de 3º Química Industrial: EJER ISOMERIA 1 RESUELTOS
ejercicios
-
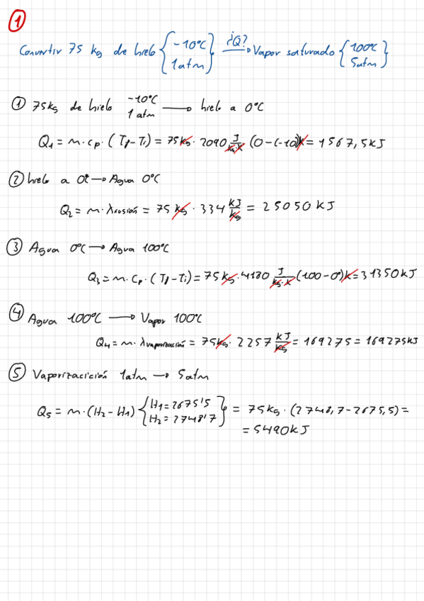
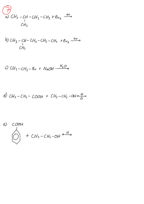
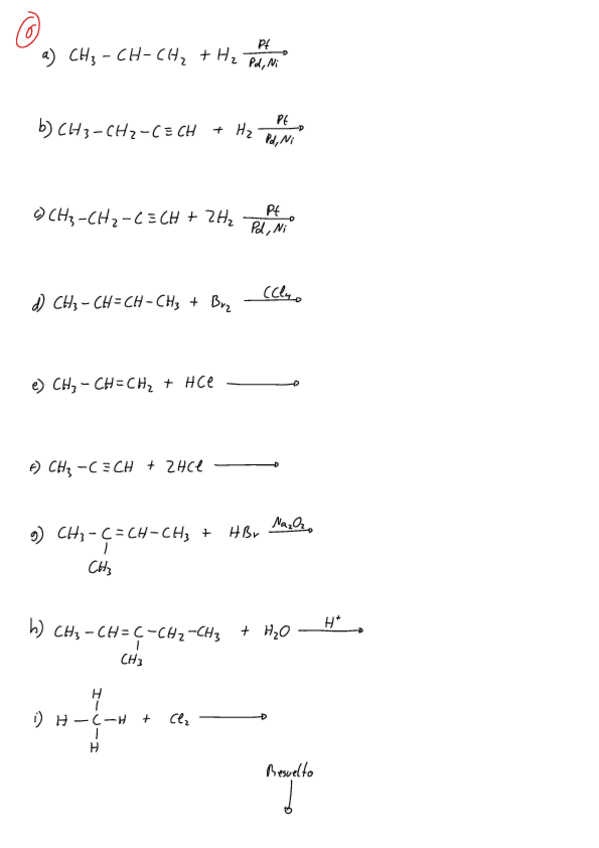
EJER REACCIONES ORGANICAS RESUELTOS
He publicado nuevos ejercicios de 3º Química Industrial: EJER REACCIONES ORGANICAS RESUELTOS
ejercicios
-
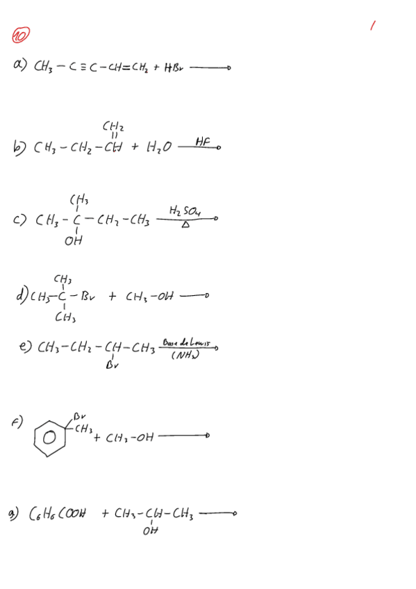
EJER FORMULACION ORGANICA RESUELTOS
He publicado nuevos ejercicios de 3º Química Industrial: EJER FORMULACION ORGANICA RESUELTOS
ejercicios
-
EJER COMP COMPLEJOS RESUELTOS
He publicado nuevos ejercicios de 3º Química Industrial: EJER COMP COMPLEJOS RESUELTOS
examenes
-
EXAMENES AÑOS ANTERIORES
He publicado nuevos examenes de 3º Química Industrial: EXAMENES AÑOS ANTERIORES
apuntes
-
APUNTES QUIMICA IND
He publicado nuevos apuntes de 3º Química Industrial: APUNTES QUIMICA IND
apuntes
-
PREGUNTAS TEORIA RESUELTAS
He publicado nuevos apuntes de 3º Química Industrial: PREGUNTAS TEORIA RESUELTAS
apuntes
-
RESUMENES DE TEORIA (T1 T2 y T3)
He publicado nuevos apuntes de 3º Química Industrial: RESUMENES DE TEORIA (T1 T2 y T3)