chevron_left
chevron_right
Todo
Apuntes
chevron_left
chevron_right

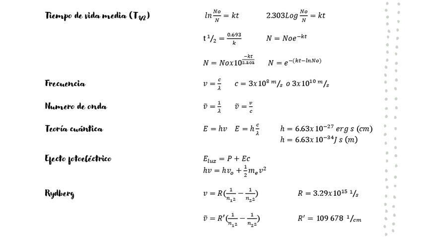
He publicado nuevos apuntes de 1º Química Inorgánica: Formulario.pdf

3 páginas
¡Estás al día!

¡Estás al día!

Has visto todos los archivos