Química Orgánica III
He publicado nuevos practicas de 3º Química Orgánica III: Informe-de-la-Sintesis-de-la-Dibenzalacetona.pdf
apuntes
-
Temario del bloque III
He publicado nuevos apuntes de 3º Química Orgánica III: Temario del bloque III
apuntes
-
Temario del bloque II
He publicado nuevos apuntes de 3º Química Orgánica III: Temario del bloque II
Apunts del Tema 2 de catàlisi basats en els apunts de classe i completats amb els del llibre de Química Orgànica (Bruice). Contenen una introducció, catàlisi àcida i bàsica, nucleòfila, per ions metàl·lics i per metalls de transició. També conté un resum
He publicado nuevos apuntes de 2º Química Orgánica III: Actividades-Primer-Parcial.pdf
He publicado nuevos examenes de 2º Química Orgánica III: Examenes-Parte-1.pdf
ejercicios
-
Ejercicios parte 1
He publicado nuevos ejercicios de 2º Química Orgánica III: Ejercicios parte 1
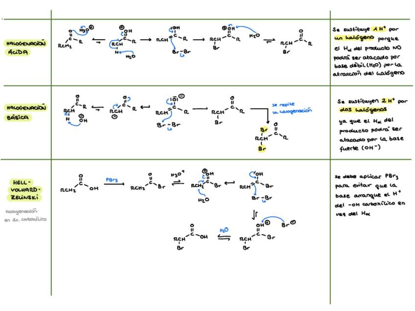
Tema: Reactivitat de la posició alfa al carbonil. Apunts de classe completats amb el llibre Organic Chemistry (Bruice). Inclou reaccions, mecanismes, resum de conceptes i exemples. Reaccions incloses: Halogenació, HVZ, preparació d'enolats, alquilació
He publicado nuevos ejercicios de 2º Química Orgánica III: Ejercicios-tema-1.pdf
He publicado nuevos ejercicios de 2º Química Orgánica III: Ejercicios-tema-2.pdf
apuntes
-
1º PARTE
He publicado nuevos apuntes de 2º Química Orgánica III: 1º PARTE
He publicado nuevos practicas de 3º Química Orgánica III: Sintesis-dibenzalacetona.pdf
He publicado nuevos apuntes de 3º Química Orgánica III: Apuntes-definitivos-de-Organica-III.pdf
He publicado nuevos apuntes de 3º Química Orgánica III: Tema-alfa-carbonil.pdf
He publicado nuevos examenes de 3º Química Orgánica III: Examen-resuelto-wuolah-2019.pdf
apuntes
-
Apuntes ORGÁNICA 3
He publicado nuevos apuntes de 3º Química Orgánica III: Apuntes ORGÁNICA 3
apuntes
-
RESÚMENES ORGÁNICA 3
He publicado nuevos apuntes de 3º Química Orgánica III: RESÚMENES ORGÁNICA 3
ejercicios
-
SERIES RESUELTAS ORGÁNICA 3
He publicado nuevos ejercicios de 3º Química Orgánica III: SERIES RESUELTAS ORGÁNICA 3
He publicado nuevos examenes de 3º Química Orgánica III: Examen-resuelto.pdf
He publicado nuevos apuntes de 3º Química Orgánica III: reacciones-y-mecanismos-tema-1-4.pdf
He publicado nuevos ejercicios de 3º Química Orgánica III: serie-3-repaso.pdf
He publicado nuevos ejercicios de 3º Química Orgánica III: Serie-2-repaso.pdf
He publicado nuevos ejercicios de 3º Química Orgánica III: SERIE-1-REPASO.pdf
apuntes
-
TEMAS ORGÁNICA 3
He publicado nuevos apuntes de 3º Química Orgánica III: TEMAS ORGÁNICA 3
apuntes
-
LABORATORIO
He publicado nuevos apuntes de 3º Química Orgánica III: LABORATORIO
apuntes
-
Temario del bloque I
He publicado nuevos apuntes de 3º Química Orgánica III: Temario del bloque I
He publicado nuevos practicas de 3º Química Orgánica III: Informe-Horner-Emmons.pdf
He publicado nuevos practicas de 3º Química Orgánica III: Reacciones-Practicas-Organica-III.pdf
He publicado nuevos practicas de 3º Química Orgánica III: Apuntes-practicas-organica-3.pdf
INICIO CURSO QUÍMICA ORGÁNICA III Resumen de cada tema. Resolución de ejercicios y exámenes de convocatorias anteriores. Clases grabadas hasta el día del examen. Profesor a tu disposición en cualquier momento para dudas. INFÓRMATE SIN COMPROMISO Y DA UNA CLASE DE PRUEBA EN GRUPO.

apuntes
-
Ejercicios de examen
He publicado nuevos apuntes de 3º Química Orgánica III: Ejercicios de examen
apuntes
-
Tutorías resueltas
He publicado nuevos apuntes de 3º Química Orgánica III: Tutorías resueltas
apuntes
-
Resúmenes de cada tema
He publicado nuevos apuntes de 3º Química Orgánica III: Resúmenes de cada tema
HETEROCICLOS-SÍNTESIS ENANTIOSELECTIVA (teoría)
He publicado nuevos practicas de 3º Química Orgánica III: cuaderno-org3.pdf
He publicado nuevos apuntes de 5º Química Orgánica III: Previo-practic-8-y-9-.-La.-Lab-organica-III.pdf
He publicado nuevos examenes de 3º Química Orgánica III: Examenes-Resueltos.pdf
He publicado nuevos apuntes de 5º Química Orgánica III: Previo-practica-4-y-5-.-Lab-organica-III.pdf
He publicado nuevos apuntes de 5º Química Orgánica III: Previo-practica-1-3-.-Lab-organica-III.pdf
He publicado nuevos apuntes de 5º Química Orgánica III: Previo-practica-8.-LaborganicaIII.pdf
He publicado la relación de ejercicios RESUELTA del Tema 9 de Química Orgánica III del 3ºcurso de Química.
He publicado la relación de ejercicios RESUELTA del Tema 8 de Química Orgánica III del 3ºcurso de Química.
He publicado la relación de ejercicios RESUELTA del Tema 7 de Química Orgánica III del 3ºcurso de Química.
He publicado la relación de ejercicios RESUELTA del Tema 6 de Química Orgánica III del 3ºcurso de Química.
He publicado la relación de ejercicios RESUELTA del Tema 5 de Química Orgánica III del 3ºcurso de Química.
He publicado la relación de ejercicios RESUELTA del Tema 4 de Química Orgánica III del 3ºcurso de Química.
He publicado la relación de ejercicios RESUELTA del Tema 3 de Química Orgánica III del 3ºcurso de Química.