Todo
Apuntes
Preguntas
Ejercicios
Exámenes
Prácticas
Test
chevron_left
chevron_right

He publicado nuevos ejercicios de 1º Química: Acido-Base-Seminario-2.pdf

5 páginas

He publicado nuevos examenes de 1º Química: Resumen-teorico.pdf

15 páginas

apuntes

-

Prácticas lab

He publicado nuevos apuntes de 1º Química: Prácticas lab

Practica-2.pdf
Grafica-practica-1.pdf
Practica-1.pdf
grafica-practica-2.pdf

He publicado nuevos apuntes de 1º Química: ejercicios-acido-base-y-sales.pdf

8 páginas

He publicado nuevos apuntes de 1º Química: Cosas-sueltas-quimica.pdf

5 páginas

He publicado nuevos ejercicios de 1º Química: ejercicios-redox.pdf

6 páginas

apuntes

-

Bloque 2. Química analítica

He publicado nuevos apuntes de 1º Química: Bloque 2. Química analítica

Quimica-analitica-bloque-3.pdf

practicas

-

Prácticas bloque II

He publicado nuevos practicas de 1º Química: Prácticas bloque II

PRACTICA-1.-DETERMINACION-DE-PKa1-PKa2-Y-Pi.pdf
INFORMEPRACTICA2.pdf

He publicado nuevos apuntes de 1º Química: Teoría Del Campo Cristalino (LIBRO).pdf

29 páginas

He publicado nuevos practicas de 1º Química: Práctica II-Capacidad reguladora tampón fosfato.pdf

3 páginas

He publicado nuevos apuntes de 1º Química: Desintegracion-y-Regla-Slater.pdf

1 página

He publicado nuevos test de 1º Química: practico-cuestionarios-previos-y-posteriores-a-las-practicas.pdf

29 páginas

He publicado nuevos examenes de 1º Química: problemas-de-examen-tema-2-solucion.pdf

5 páginas

examenes

-

examenes selectividad quimica

He publicado nuevos examenes de 1º Química: examenes selectividad quimica

QUIM-2024-JULIO.pdf

apuntes

-

química analítica

He publicado nuevos apuntes de 1º Química: química analítica

bloque-III-quimica-analitica.pdf
seminario-bloque-II.pdf
ejercicios-seminario.pdf

He publicado nuevos ejercicios de 1º Química: Problemas-Bloque-I.pdf

13 páginas

ejercicios

-

Problemas Bloque II

He publicado nuevos ejercicios de 1º Química: Problemas Bloque II

Problemas-acidobase-1.pdf
Problemas-Redox.pdf
Problemas-acidobase-2.pdf

apuntes

-

Resúmenes bloque II

He publicado nuevos apuntes de 1º Química: Resúmenes bloque II

Quim-inorg-temas-1-4.pdf
Quimica-inorg-temas-5-6.pdf

apuntes

-

Apuntes bloque I

He publicado nuevos apuntes de 1º Química: Apuntes bloque I

Quimica-inorg-tema-1.pdf
Quimica-inorg-tema-2.pdf
Quimica-inorg-tema-4.pdf
Quimica-inorg-tema-3.pdf

ejercicios

-

EJERCICIOS FORMULACION

He publicado nuevos ejercicios de 1º Química: EJERCICIOS FORMULACION

EJERICIOS-FORMULACION-SEMINARIO-1.pdf

ejercicios

-

EJERCICIOS TEMAS

He publicado nuevos ejercicios de 1º Química: EJERCICIOS TEMAS

EJERICIOS-TEMA-1.23-24.pdf
EJERCICIOS-TEMA-2.-23-24.pdf
EJERCICIOS-TEMA-3.-23-24.pdf

apuntes

-

FORMULACION

He publicado nuevos apuntes de 1º Química: FORMULACION

APUNTES-FORMULACION-DE-C.COORDINACION.pdf
APUNTES-FORMULACION-INORGANICA.pdf

apuntes

-

APUNTES A MANO 23-24

He publicado nuevos apuntes de 1º Química: APUNTES A MANO 23-24

TEMA-1.23-24.pdf
TEMA-4.23-24.pdf
TEMA-3.23-24.pdf
TEMA-2.23-24.pdf

He publicado nuevos apuntes de 1º Química: Temario.-Tema-1.pdf

9 páginas

He publicado nuevos practicas de 1º Química: Determinacion-de-la-capacidad-reguladora-del-tampon-fosfato.pdf

4 páginas

Primeros ejercicios del seminario 2 de Química

6 páginas

ejercicios

-

ejercicios bloque 2

He publicado nuevos ejercicios de 1º Química: ejercicios bloque 2

ejercicios-acido-base.pdf
ejercicios-neutralizacion.pdf
ejercicios-redox.pdf

ejercicios

-

Ejercicios Bloque I

He publicado nuevos ejercicios de 1º Química: Ejercicios Bloque I

Q-Ejercicios-T1.pdf
Q-Ejercicios-T2.pdf
Q-Ejercicios-T3.pdf
Q-Ejercicios-T4.pdf

ejercicios

-

Ejercicios Bloque II

He publicado nuevos ejercicios de 1º Química: Ejercicios Bloque II

Q-Ejercicios-S2.pdf
Q-Ejercicios-S2-Trabajo-Personal-del-Alumno.pdf
Q-Ejercicios-S3-Trabajo-Personal-del-Alumno.pdf
Q-Ejercicios-S3.pdf
Q-Ejercicios-S1.pdf

apuntes

-

Apuntes Bloque II

He publicado nuevos apuntes de 1º Química: Apuntes Bloque II

Q-Teoria-T1.pdf
Q-Teoria-T2.pdf
Q-Teoria-T3.pdf
Q-Teoria-T4.pdf
Q-Teoria-T5.pdf

apuntes

-

Apuntes Bloque I

He publicado nuevos apuntes de 1º Química: Apuntes Bloque I

T1-Atomos-y-teoria-atomica.pdf
T2-Tabla-Periodica-y-Elementos-Quimicos.pdf
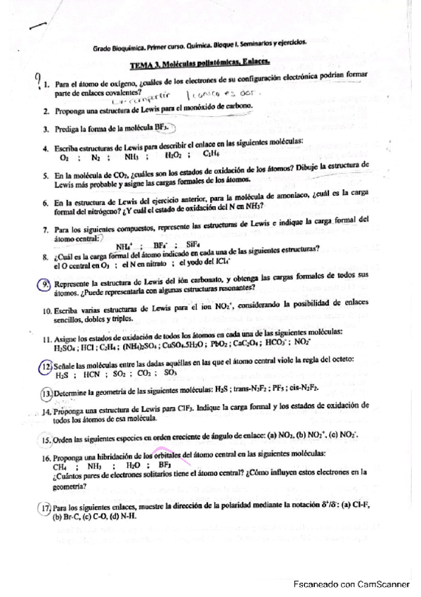
T3-Moleculas-poliatomicas.pdf
T4-Compuestos-de-coordinacion.pdf
Q-Anexos-T4.pdf
Q-Compuestos-de-coordinacion.pdf

practicas

-

Prácticas

He publicado nuevos practicas de 1º Química: Prácticas

P1-Determinacion-de-las-constantes-de-acidez-y-punto-isoelectrico-de-la-glicina.pdf
P2-Determinacion-de-la-capacidad-reguladora-del-tampon-fosfato-en-funcion-del-pH.pdf

He publicado nuevos apuntes de 1º Química: INFORMEPRACTICA2.pdf

3 páginas

He publicado nuevos apuntes de 1º Química: INFORMEPRACTICA1.pdf

4 páginas

He publicado nuevos apuntes de 1º Química: Resumen-configuracion-electronica-y-propiedades.pdf

2 páginas
Anónimo

@Anónimo

apuntes

-

EJERCICIOS BLOQUE II

He publicado nuevos apuntes de 1º Química: EJERCICIOS BLOQUE II

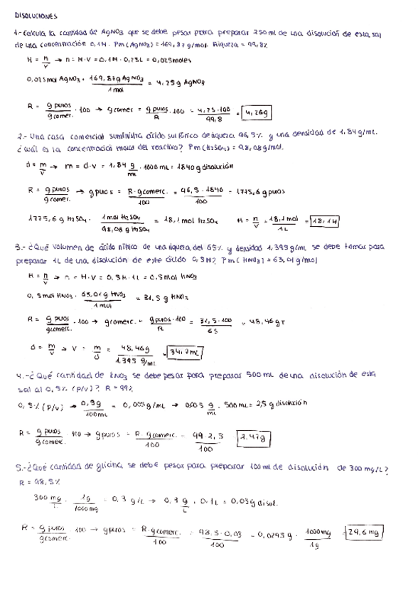
DISOLUCIONES.pdf
REDOX.pdf
Acido-base.pdf

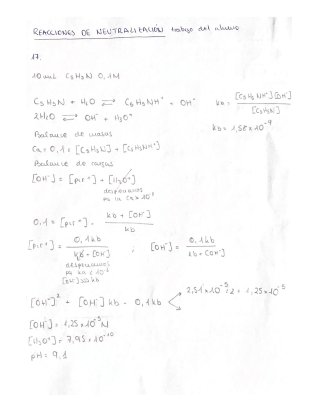
He publicado nuevos ejercicios de 1º Química: Neutralizaciones.pdf

5 páginas

He publicado nuevos ejercicios de 1º Química: Redox.pdf

9 páginas

He publicado nuevos apuntes de 1º Química: Curvas-De-Valoracion.pdf

1 página

ejercicios

-

EJERCICIOS BLOQUE 2 LORETO ACTUALIZADOS

He publicado nuevos ejercicios de 1º Química: EJERCICIOS BLOQUE 2 LORETO ACTUALIZADOS

NEUTRALIZACION-TRABAJO-ALUMNO.pdf
NEUTRALIZACION-TRABAJO-CLASE.pdf
CELDAS-ELECTROQUIMICAS-TRABAJO-CLASE.pdf
CELDAS-ELECTROQUIMICAS-TRABAJO-ALUMNO.pdf

He publicado nuevos apuntes de 1º Química: Informe-practica-2.pdf

5 páginas

He publicado nuevos apuntes de 1º Química: Informe-practica-1.pdf

4 páginas

ejercicios

-

Formulación compuestos coordinados

He publicado nuevos ejercicios de 1º Química: Formulación compuestos coordinados

Teoria-Formulacion-coordinados.pdf
Ejemplos.pdf

He publicado nuevos ejercicios de 1º Química: seminarios-quimica-Analitica.pdf

12 páginas
Anónimo

@Anónimo

apuntes

-

Resúmenes parte I

He publicado nuevos apuntes de 1º Química: Resúmenes parte I

Tema-1.pdf
Tema-2.pdf
Tema-3.pdf
Tema-4.pdf
Actividades-T4.pdf

He publicado nuevos practicas de 1º Química: Informe-practica-2.pdf

3 páginas

He publicado nuevos practicas de 1º Química: Informe-practica-1.pdf

4 páginas
Anónimo

@Anónimo

He publicado nuevos apuntes de 1º Química: Resumen-bloque-I-Quimica.pdf

12 páginas
Anónimo

@Anónimo

ejercicios

-

EJERCICIOS LORETO

He publicado nuevos ejercicios de 1º Química: EJERCICIOS LORETO

Protolitos-Trabajo-Alumno.pdf
Protolitos-Trabajo-Clase.pdf
Sales-Trabajo-Alumno.pdf
Sales-Trabajo-Clase.pdf
Anónimo

@Anónimo

practicas

-

INFORMES DE PRÁCTICAS

He publicado nuevos practicas de 1º Química: INFORMES DE PRÁCTICAS

INFORMEPRACTICA1.pdf
INFORMEPRACTICA2.pdf

apuntes

-

resúmenes/esquemas bloque 1

He publicado nuevos apuntes de 1º Química: resúmenes/esquemas bloque 1

bloque-1.pdf
geometria-de-las-moleculas.pdf

apuntes

-

resúmenes química analítica

He publicado nuevos apuntes de 1º Química: resúmenes química analítica

Leccion-2.pdf
Leccion-3.pdf

He publicado nuevos apuntes de 1º Química: resumenes-de-quimica.pdf

9 páginas

He publicado nuevos examenes de 1º Química: examen-quimica-analitica.pdf

4 páginas
Anónimo

@Anónimo

He publicado nuevos apuntes de 1º Química: compuestos-de-coordinacion.pdf

2 páginas

practicas

-

Informes prácticas bloque II

He publicado nuevos practicas de 1º Química: Informes prácticas bloque II

INFORMEPRACTICA2a5e78a41b48c72568b65efb42afda2f1-1211210005100.pdf
practica-1.pdf
Anónimo

@Anónimo

He publicado nuevos apuntes de 1º Química: TEMARIO.pdf

74 páginas

apuntes

-

PRÁCTICAS DE QUIMICA

He publicado nuevos apuntes de 1º Química: PRÁCTICAS DE QUIMICA

INFORME-PRACTICA-1-QUIMICA-1-1-1.pdf
PRACTICA-QUIMICA-2-1-1.pdf

apuntes

-

Química Bloque II

He publicado nuevos apuntes de 1º Química: Química Bloque II

Resolucion-de-problemas-Acido-base.pdf
Redox-y-otras-cosas.pdf

apuntes

-

BLOQUE I

He publicado nuevos apuntes de 1º Química: BLOQUE I

Tarjetas-T1.pdf
Tarjetas-T3.pdf
T4-RICARDO-TEORIA.pdf
Tarjetas-T2.pdf