chevron_left
chevron_right
Todo
Apuntes
Ejercicios
Exámenes
Otros
Prácticas
chevron_left
chevron_right

apuntes

-

Química - 1Q, 1º Biología

Aquí encontrarás apuntes del temario de la asignatura de biología, que incluirán explicaciones y fórmulas que facilitarán la realización de ejercicios.

Tema-1-quimica-estructura-atomica.pdf
Tema-2-quimica-enlace-covalente.pdf
Tema-3-quimica-enlace-ionico.pdf
Tema-4-quimica-estados-de-agregacion-de-la-materia.pdf
Tema-5-quimica-gases.pdf
Tema-6-quimica-disoluciones.pdf

He publicado nuevos apuntes de 1º Química: Quimica-T5.pdf

3 páginas

He publicado nuevos apuntes de 1º Química: T11-Equilibrio-de-precipitacion.pdf

3 páginas

He publicado nuevos apuntes de 1º Química: Tema-8-Cinetica-Quimica.pdf

3 páginas

He publicado nuevos apuntes de 1º Química: T9-Equilibrio-Quimico.pdf

2 páginas

He publicado nuevos apuntes de 1º Química: T10-Equilibrio-Acido-Base.pdf

3 páginas

He publicado nuevos apuntes de 1º Química: Tema-7-Termodinamica.pdf

5 páginas

He publicado nuevos apuntes de 1º Química: Quimica-T4.pdf

5 páginas

He publicado nuevos apuntes de 1º Química: Quimica-T3.pdf

5 páginas

He publicado nuevos apuntes de 1º Química: Quimica-T2.pdf

8 páginas

He publicado nuevos apuntes de 1º Química: Quimica-T1.pdf

10 páginas

He publicado nuevos examenes de 1º Química: Preguntas-tipo-test-anteriores-examenes.pdf

25 páginas

He publicado nuevos examenes de 1º Química: Ejercicios-de-examenes-anteriores.pdf

21 páginas

Repaso de preguntas tipo test para el examen de enero

21 páginas

He publicado nuevos apuntes de 1º Química: RESUMENES-DE-ALGUNOS-TEMAS-QUIMICA.pdf

11 páginas

He publicado nuevos apuntes de 1º Química: CHULETARIO-BLOQUE-II-QUIMICA.pdf

14 páginas

He publicado nuevos apuntes de 1º Química: CHULETARIO-BLOQUE-I-QUIMICA.pdf

22 páginas

He publicado nuevos examenes de 1º Química: Repaso-examen-enero-2025.pdf

86 páginas

He publicado nuevos apuntes de 1º Química: TEMA-4-ENLACE-COVALENTE.pdf

5 páginas

He publicado nuevos apuntes de 1º Química: EjerciciosTema9.pdf

8 páginas

He publicado nuevos apuntes de 1º Química: Ejerciciostema10.pdf

4 páginas

He publicado nuevos apuntes de 1º Química: EjerciciosTema11.pdf

5 páginas
Anónimo

@Anónimo

Es un mini resumen de las fórmulas más importantes está todo menos redox y orgánica

3 páginas

apuntes

-

Química II

He publicado nuevos apuntes de 1º Química: Química II

tema12.pdf
Tema11.pdf
tema10.pdf
Tema9.pdf

He publicado nuevos apuntes de 1º Química: TEMA16.pdf

6 páginas

He publicado nuevos apuntes de 1º Química: TEMA-15-QUIMICA.pdf

3 páginas
Anónimo

@Anónimo

Isomeria de bachillerato por si os sirve para primero

3 páginas

He publicado nuevos apuntes de 1º Química: Tema-14.pdf

4 páginas

He publicado nuevos apuntes de 1º Química: TEMA-13.pdf

1 página

He publicado nuevos apuntes de 1º Química: TEMA-12.pdf

4 páginas

He publicado nuevos apuntes de 1º Química: TEMA-11.pdf

2 páginas

practicas

-

Prácticas PARTE 2

He publicado nuevos practicas de 1º Química: Prácticas PARTE 2

Practica-1.-Cuestiones-sin-resolver.pdf
Practica-2.-Cuestiones-sin-resolver.pdf
Informe-practicas-de-laboratorio-2021.pdf

He publicado nuevos apuntes de 1º Química: TEMA-10.pdf

2 páginas

He publicado nuevos apuntes de 1º Química: TEMA-9.pdf

4 páginas

He publicado nuevos apuntes de 1º Química: UNIDAD-8-TERMOQUIMICA.pdf

4 páginas

He publicado nuevos apuntes de 1º Química: TEMA-7.pdf

3 páginas

practicas

-

Pre y Post Labs Resueltos PARTE 1

He publicado nuevos practicas de 1º Química: Pre y Post Labs Resueltos PARTE 1

Pre-Lab-1.pdf
Pre-Lab-2.pdf
Apuntes-Lab-1.pdf
Apuntes-Lab-2.pdf
Post-Lab-1.pdf
Post-Lab-2.pdf

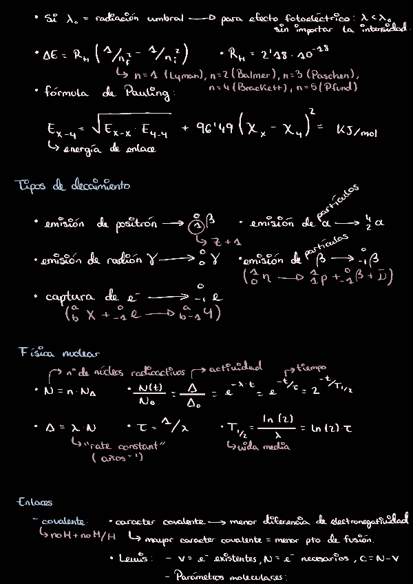
He publicado nuevos apuntes de 1º Química: UNIDAD-3-RADIO-QUIMICA-incompleto.pdf

7 páginas

He publicado nuevos apuntes de 1º Química: Tema-2-QUIMICA.pdf

8 páginas

Algunas cosas en los vídeos estaban mal pero ya las corregí en clase.

19 páginas

He publicado nuevos apuntes de 1º Química: LECCION-13-QUIMICA-TEMA-4ENLACE-COVALENTE.pdf

3 páginas

He publicado nuevos apuntes de 1º Química: Tema-2-QUIMICA.pdf

1 página

He publicado nuevos apuntes de 1º Química: Tema-1.pdf

21 páginas

He publicado nuevos apuntes de 1º Química: Tema-1-QUIMICA.pdf

21 páginas

He publicado nuevos apuntes de 1º Química: Tema-8-TERMODINAMICA-COMPLETO.pdf

6 páginas

He publicado nuevos apuntes de 1º Química: Tema-10-11-13-y-14.pdf

6 páginas

He publicado nuevos apuntes de 1º Química: Tema-12.pdf

4 páginas

He publicado nuevos apuntes de 1º Química: Tema-15-y-16.pdf

4 páginas

He publicado nuevos apuntes de 1º Química: TEMA-8-TERMODINAMICA.pdf

1 página

He publicado nuevos apuntes de 1º Química: Tema-3.pdf

5 páginas

He publicado nuevos apuntes de 1º Química: Tema-7.pdf

4 páginas

He publicado nuevos apuntes de 1º Química: TEMA-6.pdf

5 páginas

He publicado nuevos apuntes de 1º Química: Tema-0.pdf

1 página

He publicado nuevos apuntes de 1º Química: Tema-1.pdf

16 páginas

He publicado nuevos apuntes de 1º Química: Formulacion-inorganica.pdf

4 páginas

He publicado nuevos apuntes de 1º Química: Formulacion-organica-extra-de-los-temas-15-y-16.pdf

6 páginas

He publicado nuevos apuntes de 1º Química: Cinetica-quimica.pdf

2 páginas

He publicado nuevos apuntes de 1º Química: Quimica-organica.pdf

8 páginas

He publicado nuevos practicas de 1º Química: Practicas-Quimica-Laboratorio.pdf

7 páginas

He publicado nuevos apuntes de 1º Química: resumen-para-el-examen-2022-23.pdf

4 páginas