Todo
Apuntes
Exámenes
chevron_left
chevron_right
Anónimo

@Anónimo

examenes

-

Exámenes Química

He publicado nuevos examenes de 1º Química: Exámenes Química

Parcial-2.pdf
Ejemplo-Examen-Julio.pdf
Ejemplo-Examen-de-practicas-.pdf
parcial-20230324.pdf
Parcial-1.pdf
examen-junio-practicas.pdf

He publicado nuevos apuntes de 1º Química: Qapuntes.pdf

83 páginas
Anónimo

@Anónimo

apuntes

-

Material Química

He publicado nuevos apuntes de 1º Química: Material Química

Tema-2-Ejercicios.pdf
Tema-4-Ejercicios.pdf
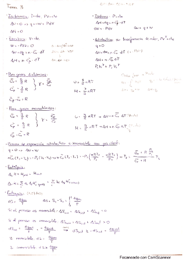
Tema-3-Resumen.pdf
Tema-3-Resumen-bueno.pdf
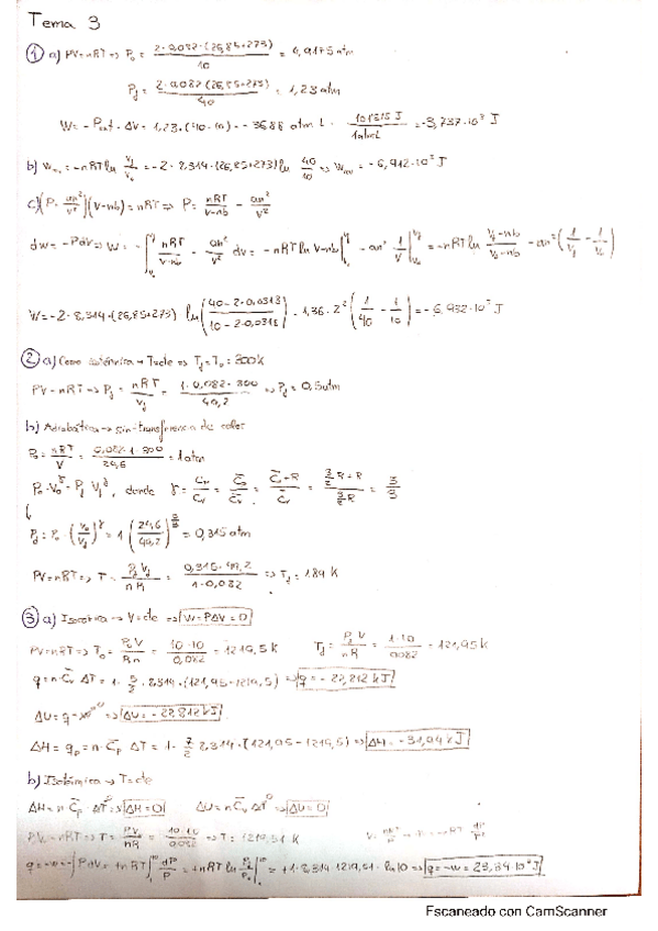
Tema-3-Ejercicios.pdf
Tema-1-Intro-a-los-fund-quimicos.pdf
¡Estás al día!

¡Estás al día!

Has visto todos los archivos