chevron_left
chevron_right
Todo
Apuntes
Ejercicios
chevron_left
chevron_right

ejercicios

-

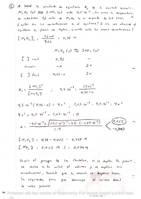
Ejercicios resueltos

He publicado nuevos ejercicios de 1º Química: Ejercicios resueltos

quimicaejercicios-8.pdf
quimicaejercicios-9.pdf
quimicaejercicios-10.pdf
quimicaejercicios-11.pdf
quimicaejercicios-12.pdf
quimicaejercicios-13.pdf
Anónimo

@Anónimo

He publicado nuevos ejercicios de 1º Química: SEMINARIO-TERMO-Y-CINETICA-.pdf

pdf
Anónimo

@Anónimo

He publicado nuevos ejercicios de 1º Química: SEMINARIO-GASES-LIQUIDOS-Y-DISOLUCI.pdf

16 páginas
Anónimo

@Anónimo

He publicado nuevos ejercicios de 1º Química: SEMINARIO-ESTRUCTURA-Y-ENLACE.pdf

13 páginas

He publicado nuevos ejercicios de 1º Química: 2a-Relacion-.pdf

3 páginas

He publicado nuevos apuntes de 1º Química: Enlace-Covalente.pdf

10 páginas

He publicado nuevos apuntes de 1º Química: Enlace-Ionico.pdf

3 páginas
Anónimo

@Anónimo

He publicado nuevos ejercicios de 1º Química: Relacion-Quimica-Tema-1.pdf

4 páginas
Anónimo

@Anónimo

He publicado nuevos apuntes de 1º Química: Quimica-Tema-1.pdf

5 páginas
¡Estás al día!

¡Estás al día!

Has visto todos los archivos