chevron_left
chevron_right
Todo
Apuntes
Exámenes
chevron_left
chevron_right

apuntes

-

Radiación y Propagación

He publicado nuevos apuntes de 3º Radiación y Propagación: Radiación y Propagación

Tema-3-Modelado-elemental-de-antenas-en-radiocomunicacion.pdf
4.1-Introduccion-al-analisis-de-la-radiacion.pdf
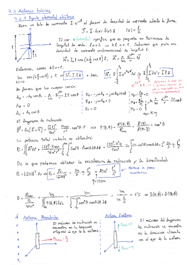
4.2-Antenas-basicas.pdf
4.3-Introduccion-al-analisis-de-Agrupaciones-lineales-de-antenas.pdf
Tema-4-COMPLETO-Y-PROBLEMAS-RESUELTOS.pdf
Anónimo

@Anónimo

He publicado nuevos examenes de 3º Radiación y Propagación: Problema-1-Examen-1a-23-24.pdf

2 páginas
¡Estás al día!

¡Estás al día!

Has visto todos los archivos