Radiodeterminación

chevron_left
chevron_right
Todo
Apuntes
Ejercicios
Prácticas
chevron_left
chevron_right

He publicado nuevos apuntes de 4º Radiodeterminación: Apuntes-Tema-3.-Radares-coherentes.pdf

8 páginas

Ejercicio inventado Biestático. Solo hay que separar ganancias y distancias.

2 páginas

Ejercicio de propagación radar resuelto.

2 páginas

He publicado nuevos apuntes de 4º Radiodeterminación: apuntestema1.pdf

7 páginas

Problemas del boletín resueltos, los que se han podido...

10 páginas

Formulario del primer parcial de la temporada 25-26

1 página

He publicado nuevos apuntes de 4º Radiodeterminación: Radares-Segundo-Parcial.pdf

14 páginas

He publicado nuevos apuntes de 4º Radiodeterminación: Radares-Segundo-Parcial-Examenes.pdf

15 páginas

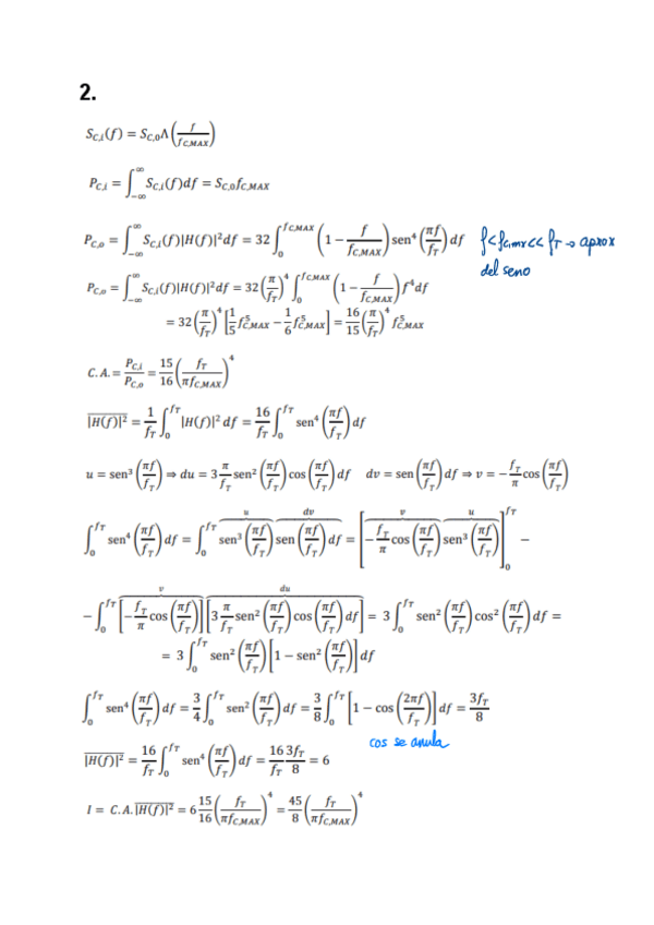
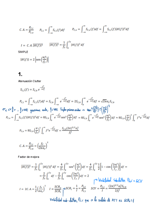
He publicado nuevos apuntes de 4º Radiodeterminación: Integrales-Segundo-Parcial.pdf

4 páginas

He publicado nuevos practicas de 4º Radiodeterminación: Practica-I-Radares.pdf

11 páginas

He publicado nuevos practicas de 4º Radiodeterminación: Practica-II-Radares.pdf

13 páginas

He publicado nuevos apuntes de 4º Radiodeterminación: Ejercicios-Primer-Parcial.pdf

9 páginas
¡Estás al día!

¡Estás al día!

Has visto todos los archivos