chevron_left
chevron_right
Todo
Apuntes
chevron_left
chevron_right

apuntes

-

Ejercicios Parcial 1

He publicado nuevos apuntes de 3º Reactores Químicos: Ejercicios Parcial 1

p19.pdf
p1.pdf
p14.pdf
p2.pdf
p21.pdf
p17.pdf
Anónimo

@Anónimo

apuntes

-

Apuntes y Ejercicios

He publicado nuevos apuntes de 3º Reactores Químicos: Apuntes y Ejercicios

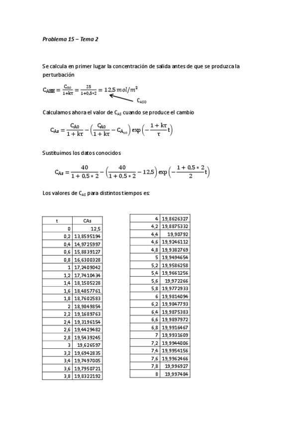
Problema-15-Tema-2.pdf
Problema-16powerpoint.pdf
Tema-2-ppt.pdf
Problema-13-Tema-2.pdf
Problema-5-Tema-2.pdf
Problema-6-Tema-2.pdf
¡Estás al día!

¡Estás al día!

Has visto todos los archivos