chevron_left
chevron_right
Todo
Apuntes
Ejercicios
Exámenes
Prácticas
Trabajos
chevron_left
chevron_right

En el 2, para pasar a dB es: 20*log(2.5)

16 páginas

Plantilla para poder realizar casi todos los ejercicios de exámenes de otros años. Si consigo hacer la plantilla de más ejercicios los pondré. Pero con esto se puede hacer la inmensa mayoría.

11 páginas

He publicado nuevos examenes de 3º Regulación Automática: Examenes-Resueltos-RA.pdf

16 páginas

He publicado nuevos examenes de 3º Regulación Automática: Resolucion-Primer-Parcial-2324.pdf

3 páginas

He publicado nuevos ejercicios de 3º Regulación Automática: Teoria-Completa-Problemas.pdf

84 páginas

ejercicios

-

EJERCICIOS DE PRACTICAS INFORMÁTICAS

He publicado nuevos ejercicios de 3º Regulación Automática: EJERCICIOS DE PRACTICAS INFORMÁTICAS

PRACTICA-INFORMATICA-1230.pdf
Practica-Informatica-3.pdf
Practica-informatica-2.pdf

He publicado nuevos apuntes de 3º Regulación Automática: Formulario-y-ejercicios-1-parcial.pdf

37 páginas

apuntes

-

Resumenes de teoría

Iré subiendo poco a poco

TEMA-1.pdf
TEMA-2.pdf

apuntes

-

ERASMUS ITALIA

La convalidación es DINAMICA E CONTROLLO DEI SISTEMI MECCANICI

TEMARIO.pdf
EXAMEN03-06.pdf
EXAMEN10-02.pdf
EXAMEN13-01.pdf
EXAMEN14-01.pdf
EXAMEN14-04.pdf
Anónimo

@Anónimo

ejercicios

-

Problemas resueltos

He publicado nuevos ejercicios de 3º Regulación Automática: Problemas resueltos

Problema-0045.pdf
Problema-PbRA0034.pdf
Problema-PbRA0035.pdf
Problema-PbRA0036.pdf
Problemas-38-y-39.pdf
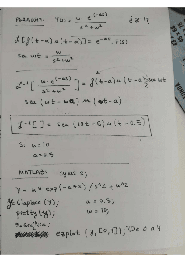
Problema-0047.pdf

ejercicios

-

Problemas resueltos en Matlab

He publicado nuevos ejercicios de 3º Regulación Automática: Problemas resueltos en Matlab

Miniatura no disponible
PRA0042.m
Miniatura no disponible
PRA0043.m
Miniatura no disponible
PRA0044.m
Miniatura no disponible
PRA0041.m
Miniatura no disponible
PRA0034.m
Miniatura no disponible
PRA0035.m

apuntes

-

Apuntes primeras prácticas informáticas

He publicado nuevos apuntes de 3º Regulación Automática: Apuntes primeras prácticas informáticas

Miniatura no disponible
PRA0008b.m
Miniatura no disponible
PR0008.m
Miniatura no disponible
PRA0008c.m
Miniatura no disponible
PRA022.m

He publicado nuevos apuntes de 3º Regulación Automática: IMG20220622214331.pdf

2 páginas

He publicado nuevos practicas de 3º Regulación Automática: 03MemoriaP32205251.pdf

12 páginas

examenes

-

(2º Parcial) Resueltos - Años 20-21

He publicado nuevos examenes de 3º Regulación Automática: (2º Parcial) Resueltos - Años 20-21

Parcial-2-2021-Resuelto.pdf
Parcial-2-2020-Tipo-A-Resuelto.pdf
Parcial-2-2020-Tipo-B-Resuelto.pdf

He publicado nuevos practicas de 3º Regulación Automática: CamScanner-04-05-2022-19.pdf

4 páginas

apuntes

-

Exámenes Resueltos - Años 2021 y 2022

He publicado nuevos apuntes de 3º Regulación Automática: Exámenes Resueltos - Años 2021 y 2022

Primer-parcial-2020-Cuestion-1-.pdf
Primer-parcial-2020-Cuestion-3.pdf
Primer-parcial-2021-Cuestion-2-4-opciones-diferentes.pdf
Primer-parcial-2021-Cuestion-1-4-opciones-diferentes.pdf
Primer-parcial-2020-Cuestion-2.pdf
Primer-parcial-2021-Cuestion-3-4-opciones-diferentes.pdf

practicas

-

Prácticas de laboratorio resueltas

He publicado nuevos practicas de 3º Regulación Automática: Prácticas de laboratorio resueltas

Practica1-regulacion.pdf
Practica-2-Regulacion.pdf

He publicado nuevos apuntes de 3º Regulación Automática: Ejercicios-y-apuntes.pdf

pdf

ejercicios

-

Ejercicios resueltos

He publicado nuevos ejercicios de 3º Regulación Automática: Ejercicios resueltos

Resumenes-2oparcial.pdf
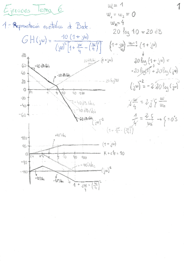
Ejercicios-tema-6.pdf
Ejercicios-funciones-de-transf.pdf

apuntes

-

Exámenes resueltos

He publicado nuevos apuntes de 3º Regulación Automática: Exámenes resueltos

Ejercicios-de-examenes-2-parcial-teoria-y-problemas.pdf
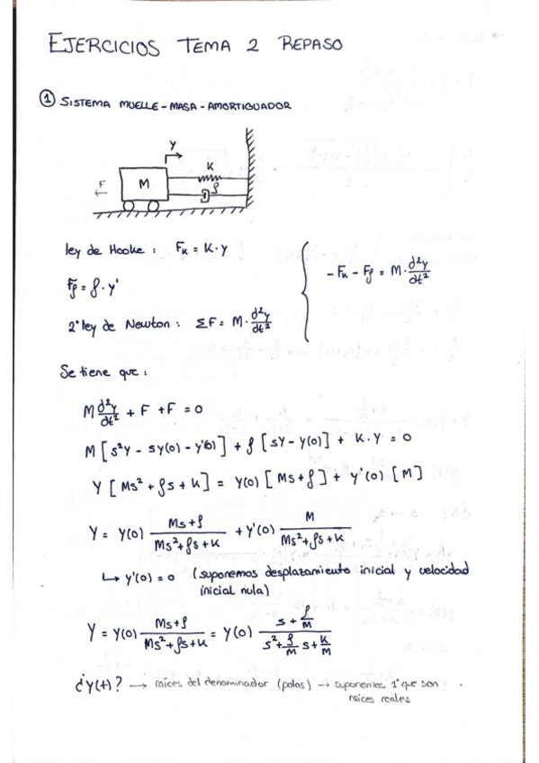
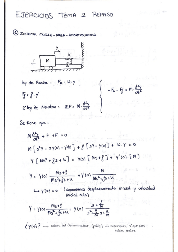
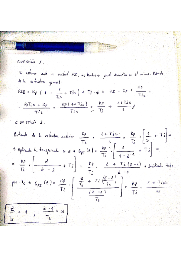
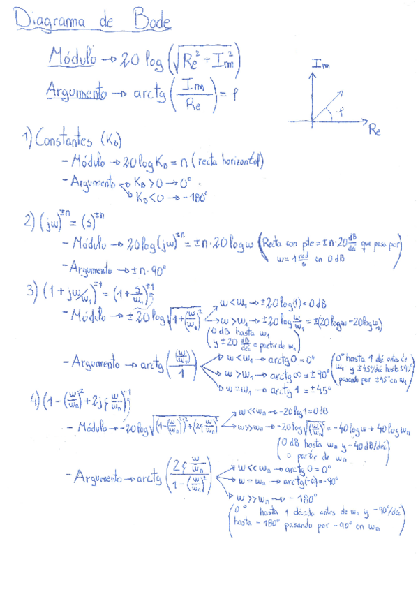
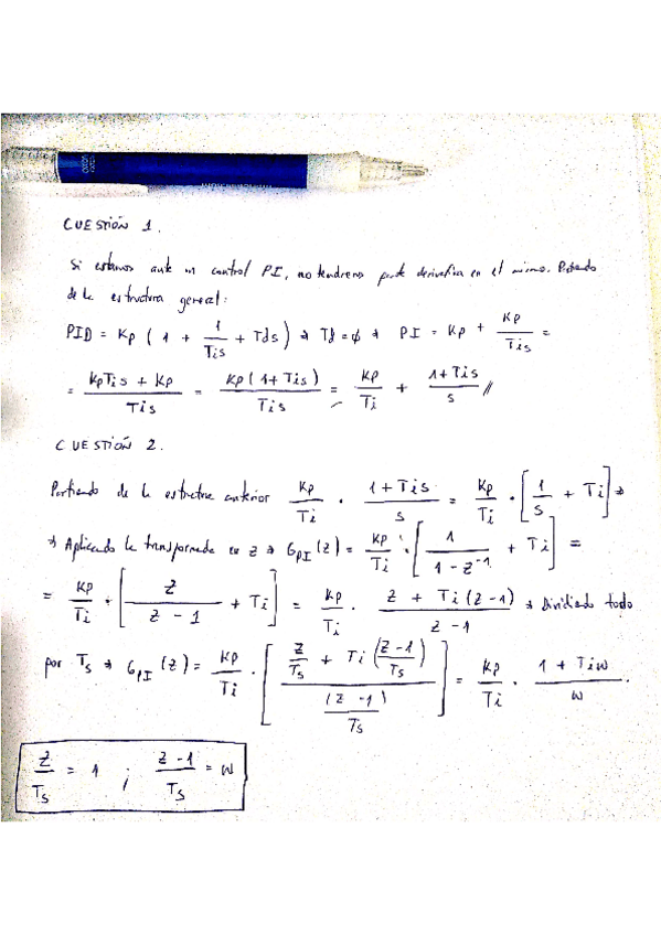
ejercicios-tema-2-repaso.pdf
Ejercicios-de-examenes-1-parcial-teoria-y-practica.pdf

apuntes

-

Apuntes de clase

He publicado nuevos apuntes de 3º Regulación Automática: Apuntes de clase

Tema-7-clase.pdf
Tema-6-clase.pdf
Tema-2-clase.pdf
Tema-5-clase.pdf

He publicado nuevos apuntes de 3º Regulación Automática: control-1.pdf

3 páginas

He publicado nuevos apuntes de 3º Regulación Automática: Teoria-tipo-examen-Regulacion-Automatica.pdf

2 páginas

He publicado nuevos apuntes de 3º Regulación Automática: LIBRETA-REGULACION-.pdf

20 páginas

He publicado nuevos apuntes de 3º Regulación Automática: Herramientas-De-Analisis-.pdf

14 páginas

examenes

-

1er control 20/21

He publicado nuevos examenes de 3º Regulación Automática: 1er control 20/21

Ex-RA-2021-05-06-B-cuestion3.pdf
Ex-RA-2021-05-06-C-cuestion1.pdf
Ex-RA-2021-05-06-B-cuestion2.pdf

examenes

-

Examen 2020

He publicado nuevos examenes de 3º Regulación Automática: Examen 2020

Ex-RA-2020-2Parcial.pdf

apuntes

-

PROBLEMAS PRÁCTICAS INFORMÁTICAS.

He publicado nuevos apuntes de 3º Regulación Automática: PROBLEMAS PRÁCTICAS INFORMÁTICAS.

RAPrac.pdf
RAPrac.pdf
RAPrac.pdf
RAProb.pdf

apuntes

-

TEORÍA COMPLETA.

He publicado nuevos apuntes de 3º Regulación Automática: TEORÍA COMPLETA.

RA22.pdf
RA51.pdf
RA41.pdf
RA52.pdf
RA3.pdf
RA24.pdf
Anónimo

@Anónimo

examenes

-

EXAMEN JUNIO 2019 Y SOLUCIÓN.

He publicado nuevos examenes de 3º Regulación Automática: EXAMEN JUNIO 2019 Y SOLUCIÓN.

Ex-RA-2019-06-24.pdf
Problema-PbCA0122.pdf

practicas

-

PRÁCTICAS 1 Y 4.

He publicado nuevos practicas de 3º Regulación Automática: PRÁCTICAS 1 Y 4.

Practica-4-RA.pdf
Practica-1.-RA.pdf

He publicado nuevos trabajos de 3º Regulación Automática: Practica-RA.pdf

4 páginas

He publicado nuevos apuntes de 3º Regulación Automática: Ex RA-2018-05-11_solucion .pdf

9 páginas

He publicado nuevos apuntes de 3º Regulación Automática: Problema PbRA0100(1) (1).pdf

13 páginas

He publicado nuevos practicas de 3º Regulación Automática: Practica 4 Estudio teorico.pdf

2 páginas

He publicado nuevos examenes de 3º Regulación Automática: Control 1 2017-18.pdf

2 páginas

He publicado nuevos examenes de 3º Regulación Automática: Sol_Ex_RA_2017-04-19(1).pdf

9 páginas

He publicado nuevos examenes de 3º Regulación Automática: ExSol RA-2016-06-02.pdf

9 páginas
Anónimo

@Anónimo

examenes

-

examenes con solución

He publicado nuevos examenes de 3º Regulación Automática: examenes con solución

Ex RA 2015-04-21.pdf
Ex RA 2015-04-27-simplificado.pdf
Ex RA 2015-06-01.pdf
ExSol RA-2016-06-02.pdf
Problema 104.pdf
Problema PbCA0093.pdf

examenes

-

Grado en Ingenieria Electrónica Industrial

He publicado nuevos examenes de 3º Regulación Automática: Grado en Ingenieria Electrónica Industrial

Ex RA 2015-04-21.pdf
Problema PbCA0093.pdf
Problema PbRA0100.pdf
control-1-ra-ejemplo.pdf
control-1-ra-solución.pdf
Ex RA 2014-06-02-2.pdf

He publicado nuevos ejercicios de 3º Regulación Automática: Problemas RA 2016-02-08.pdf

254 páginas

He publicado nuevos apuntes de 3º Regulación Automática: Temario_Regulacion.pdf

1050 páginas

He publicado nuevos ejercicios de 3º Regulación Automática: Problemas RA 2016-02-08.pdf

254 páginas

He publicado nuevos examenes de 3º Regulación Automática: Problema PbRA0100.pdf

13 páginas
¡Estás al día!

¡Estás al día!

Has visto todos los archivos