Rehabilitación Visual

Todo
Apuntes
Ejercicios
Exámenes
Prácticas
chevron_left
chevron_right
Anónimo

@Anónimo

He publicado nuevos ejercicios de 4º Rehabilitación Visual: Actividades-RV.pdf

11 páginas

apuntes

-

Temario completo RV

He publicado nuevos apuntes de 4º Rehabilitación Visual: Temario completo RV

Tema-7.-Terapia-de-las-disfunciones-oculomotoras.pdf
Tema-8.-Terapia-de-las-disfunciones-acomodativas.pdf
Tema-5.-Procedimientos-IV.-Fijacion-Excentrica-y-Correspondencia-Anomala.pdf
Tema-10.-Terapia-de-las-adaptaciones-sensoriales.pdf
Tema-3.-Procedimientos-II.-Percepcion-simultanea.pdf
Tema-2.-Procedimientos-I.-Mejora-de-las-capacidades-monoculares.pdf

Fases de terapia de todas las disfunciones + objetivos de cada fase

3 páginas

Realización, procedimiento y resultado de los ejercicios de convergencia (CT, CA Y CF) paso por paso y explicado.

12 páginas

He publicado nuevos apuntes de 4º Rehabilitación Visual: PREGUNTAS-PRACTICAS-REHABILITACION.pdf

13 páginas

He publicado nuevos apuntes de 4º Rehabilitación Visual: Rehabiltacion-apuntes-finaaaaal.pdf

89 páginas

He publicado nuevos apuntes de 4º Rehabilitación Visual: FASES-TERAPIA.pdf

13 páginas

He publicado nuevos apuntes de 4º Rehabilitación Visual: TEMA-1.-INTRODUCCION-A-LA-TERAPIA-VISUAL.pdf

11 páginas

He publicado nuevos apuntes de 4º Rehabilitación Visual: TEMA-2.-PROCEDIMIENTOS-I-MEJORA-DE-LAS-CAPACIDADES-MONOCULARES.pdf

16 páginas

He publicado nuevos apuntes de 4º Rehabilitación Visual: TEMA-3.-PROCEDIMIENTOS-II-PERCEPCION-SIMULTANEA.pdf

11 páginas

He publicado nuevos apuntes de 4º Rehabilitación Visual: TEMA-4.-PROCEDIMIENTOS-III-FUSION-Y-ESTEREOPSIS.pdf

19 páginas

He publicado nuevos apuntes de 4º Rehabilitación Visual: TEMA-6.-COMO-DESARROLLAR-UN-PLAN-DE-TERAPIA-VISUAL.pdf

3 páginas

He publicado nuevos apuntes de 4º Rehabilitación Visual: TEMA-5.-PROCEDIMIENTOS-IV-FIJACION-EXCENTRICA-Y-CORRESPONDENCIA-ANOMALA.pdf

7 páginas

He publicado nuevos apuntes de 4º Rehabilitación Visual: TEMA-7.-TERAPIA-DE-LAS-DISFUNCIONES-OCULOMOTORAS.pdf

6 páginas

He publicado nuevos apuntes de 4º Rehabilitación Visual: TEMA-8.-TERAPIA-DE-LAS-DISFUNCIONES-ACOMODATIVAS.pdf

7 páginas

He publicado nuevos apuntes de 4º Rehabilitación Visual: TEMA-9.-TERAPIA-DE-LAS-DISFUNCIONES-BINOCULARES.pdf

11 páginas

He publicado nuevos apuntes de 4º Rehabilitación Visual: TEMA-10.-TERAPIA-DE-ADAPTACIONES-SENSORIALES.pdf

16 páginas
Anónimo

@Anónimo

apuntes

-

Resumen Prácticas RV

He publicado nuevos apuntes de 4º Rehabilitación Visual: Resumen Prácticas RV

Practica-1-RV.pdf
Practica-2-RV.pdf
Practica-3-RV.pdf
Practica-4-RV.pdf
Practica-5-RV.pdf
Practica-6-RV.pdf

He publicado nuevos apuntes de 4º Rehabilitación Visual: Tema-2-Rehabilitacion-visual.pdf

12 páginas

He publicado nuevos apuntes de 4º Rehabilitación Visual: tema-6-rehabilitacion-visual.pdf

4 páginas

He publicado nuevos apuntes de 4º Rehabilitación Visual: Tema-3-Rehabilitacion.pdf

10 páginas

He publicado nuevos apuntes de 4º Rehabilitación Visual: Tema-1-rehabilitacion-visual.pdf

9 páginas

He publicado nuevos apuntes de 4º Rehabilitación Visual: Tema-4-Rehabilitacion.pdf

19 páginas

He publicado nuevos apuntes de 4º Rehabilitación Visual: RESUMEN-PRACTICAS-RV.pdf

19 páginas
Anónimo

@Anónimo

apuntes

-

RESUMENES PRACTICAS

He publicado nuevos apuntes de 4º Rehabilitación Visual: RESUMENES PRACTICAS

P5-RV.pdf
P1-RV.pdf
P7-RV.pdf
P6-RV.pdf
P3-RV.pdf
P2-RV.pdf
Anónimo

@Anónimo

apuntes

-

RESUMENES

He publicado nuevos apuntes de 4º Rehabilitación Visual: RESUMENES

PLANOS-DE-CONVERGENCIA-Y-DIVERGENCIA-RV.pdf
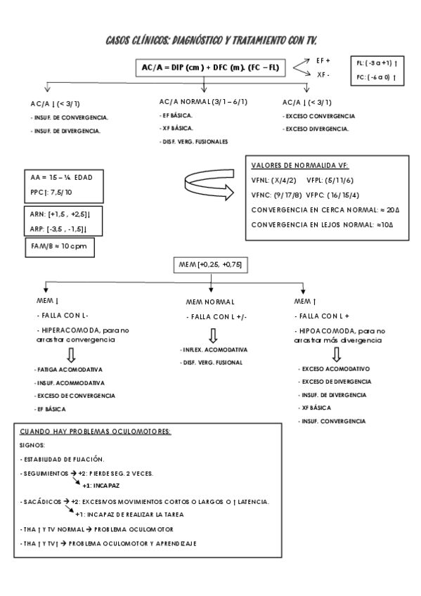
CASOS-CLINICOS-resumen-RV.pdf
COMO-DESARROLLAR-UN-PLAN-DE-TERAPIA-VISUAL-RV.pdf
R1-RV.pdf
RESUMEN-CASOS-CLINICOS-RV.pdf
TERAPIA-DE-ADAPTACIONES-SENSORIALES.pdf
Anónimo

@Anónimo

apuntes

-

TEMAS COMPLETOS

He publicado nuevos apuntes de 4º Rehabilitación Visual: TEMAS COMPLETOS

T3-RV.pdf
T2-RV.pdf

apuntes

-

Resumen plan de terapia y caso

He publicado nuevos apuntes de 4º Rehabilitación Visual: Resumen plan de terapia y caso

Plan-de-terapia.pdf

practicas

-

Resumen prácticas

He publicado nuevos practicas de 4º Rehabilitación Visual: Resumen prácticas

RESUMEN-PRACTICA-5.pdf
RESUMEN-PRACTICA-3.pdf
RESUMEN-PRACTICA-4.pdf
RESUMEN-PRACTICA-2.pdf
RESUMEN-PRACTICA-6.pdf

He publicado nuevos apuntes de 4º Rehabilitación Visual: casi-clinici.pdf

pdf

He publicado nuevos practicas de 4º Rehabilitación Visual: practica-1-6-7-8-9-10.pdf

pdf

He publicado nuevos ejercicios de 4º Rehabilitación Visual: Ejercicio-de-convergencia.pdf

3 páginas
Anónimo

@Anónimo

apuntes

-

apuntes clase 1-5 Rehabilitaciòn virtual

He publicado nuevos apuntes de 4º Rehabilitación Visual: apuntes clase 1-5 Rehabilitaciòn virtual

Sin-titulo-6.pdf
Sin-titulo-10.pdf
Sin-titulo-2.pdf
Sin-titulo-5.pdf
Sin-titulo-3.pdf
Sin-titulo-7.pdf

apuntes

-

Temario completo a ordenador

He publicado nuevos apuntes de 4º Rehabilitación Visual: Temario completo a ordenador

Tema-1.pdf
Tema-2.pdf

He publicado nuevos apuntes de 4º Rehabilitación Visual: CASO-CLINICO-4.pdf

1 página

He publicado nuevos apuntes de 4º Rehabilitación Visual: CONV.pdf

1 página

He publicado nuevos apuntes de 4º Rehabilitación Visual: tablas.pdf

2 páginas

apuntes

-

TEMARIO COMPLEO 19-20

He publicado nuevos apuntes de 4º Rehabilitación Visual: TEMARIO COMPLEO 19-20

TEMA-6.pdf
TEMA-7.pdf
TEMA-5-.pdf
TEMA-3.pdf
TEMA-8-.pdf
TEMA-9-.pdf
Anónimo

@Anónimo

He publicado nuevos apuntes de 4º Rehabilitación Visual: PROCEDIMIENTOS-Y-MATERIAL-DE-TERAPIA-VISUAL-tabla.pdf

13 páginas

He publicado nuevos examenes de 4º Rehabilitación Visual: Preguntas de rehabilitación visual.pdf

5 páginas

apuntes

-

apuntes completos de clase

He publicado nuevos apuntes de 4º Rehabilitación Visual: apuntes completos de clase

TEMA 1.docx
TEMA 5.docx
Tema 3.docx
TEMA 6.docx
TEMA 4.docx
TEMA 2.docx
Anónimo

@Anónimo

He publicado nuevos examenes de 4º Rehabilitación Visual: EXAMEN REHABILITACIÓN ENERO 2019.docx

word

He publicado nuevos apuntes de 4º Rehabilitación Visual: Rehabilitación visual-20180120182257.pdf

18 páginas

apuntes

-

Apuntes Tomados en Clase

He publicado nuevos apuntes de 4º Rehabilitación Visual: Apuntes Tomados en Clase

Tema 1 - Introducción.pdf
Tema 2 - Procedimientos y material de terapia. Anaglifos vectogramas y filtros.pdf
Tema 3 - Procedimientos y material de terapia. Lentes Prismas y Espejos.pdf
Tema 4 - Procedimientos y materiales de terapia. Separadores aperturas papel lápiz y otros.pdf
Tema 5 - Procedimientos con estereoscopios postimágenes y haz de Haidinger.pdf
Tema 6 - Terapia de ambliopía supresión fijación no foveal y CRA.pdf

He publicado nuevos apuntes de 4º Rehabilitación Visual: Tema 2 Procedimientos 1 [Modo de compatibilidad] rehabilitacion.pdf

10 páginas

He publicado nuevos apuntes de 4º Rehabilitación Visual: Tema 1 Introducci�n [Modo de compatibilidad].pdf

19 páginas

He publicado nuevos apuntes de 4º Rehabilitación Visual: Tema 3 Procedimientos 2 [Modo de compatibilidad].pdf

17 páginas

He publicado nuevos apuntes de 4º Rehabilitación Visual: Tema 6 ambliopia [Modo de compatibilidad].pdf

28 páginas

He publicado nuevos apuntes de 4º Rehabilitación Visual: Tema 10 Insuficiencia de convergencia Caso clínico [Modo de compatibilidad].pdf

13 páginas

He publicado nuevos apuntes de 4º Rehabilitación Visual: Tema 4 Procedimientos 3 [Modo de compatibilidad].pdf

30 páginas

He publicado nuevos apuntes de 4º Rehabilitación Visual: Tema 9 Problemas binoculares [Modo de compatibilidad].pdf

28 páginas

He publicado nuevos apuntes de 4º Rehabilitación Visual: Tema 5 Procedimientos 4 [Modo de compatibilidad].pdf

16 páginas

He publicado nuevos apuntes de 4º Rehabilitación Visual: Tema 8 Problemas oculomotores [Modo de compatibilidad].pdf

8 páginas

He publicado nuevos apuntes de 4º Rehabilitación Visual: Tema 7 Problemas acomodativos [Modo de compatibilidad].pdf

14 páginas
¡Estás al día!

¡Estás al día!

Has visto todos los archivos