Reología Aplicada a Productos industriales

chevron_left
chevron_right
Todo
Apuntes
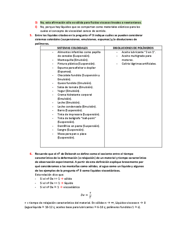
Ejercicios
chevron_left
chevron_right

He publicado nuevos ejercicios de 3º Reología Aplicada a Productos industriales: Relacion-1-Reologia.pdf

4 páginas

He publicado nuevos apuntes de 3º Reología Aplicada a Productos industriales: EJERCICIOSTEMA1REOL.pdf

4 páginas

ejercicios

-

Ejercicios resueltos

He publicado nuevos ejercicios de 3º Reología Aplicada a Productos industriales: Ejercicios resueltos

Ejercicios-Tema-1.pdf
Ejercicios-Tema-3.pdf
Ejercicios-Tema-4.pdf
Ejercicios-Tema-2.pdf
¡Estás al día!

¡Estás al día!

Has visto todos los archivos