Resistencia de Materiales y Elasticidad

chevron_left
chevron_right
Todo
Apuntes
Ejercicios
Exámenes
Otros
Prácticas
publication
Trabajos
chevron_left
chevron_right

examenes

-

EXÁMENES PEI 2 RESUELTOS IPAD

He publicado nuevos examenes de 2º Resistencia de Materiales y Elasticidad: EXÁMENES PEI 2 RESUELTOS IPAD

PEI-2-24-25-RESUELTO-paso-a-paso.pdf
PEI-23-24-RESUELTO-PASO-A-PASO.pdf
ORDINARIO-23-24-RESUELTO-PASO-A-PASO.pdf

examenes

-

EXÁMENES PEI 2 resueltos paso a paso

Se irán subiendo exámenes para la PEI 2. Todos los años desde 2025 hasta 2020 o así.

PEI-2-2024-25-resuelto.pdf
ORDINARIO-2024-25-parte-2.pdf
PEI-2-2023-24.pdf
ORDINARIO-2023-24-parte-2.pdf

apuntes

-

Apuntes de Resistencia de Materiales (Segunda parte)

Apuntes de la segunda parte de la asignatura de Resistencia de los Materiales (Temas 18-21), TODOS ellos incluyen algún ejercicio o ejemplo. También se incluye un poco de teoría de los Métodos Matriciales para el cálculo de estructuras

RESISMATST18.pdf
RESISMATST19.1.pdf
RESISMATST19.2.pdf
RESISMATST19.3.pdf
RESISMATST20.pdf
RESISMATST21.pdf

examenes

-

PROBLEMAS EXÁMENES ACADEMIA curso completo

He publicado nuevos examenes de 2º Resistencia de Materiales y Elasticidad: PROBLEMAS EXÁMENES ACADEMIA curso completo

PROBLEMAS-ELASTICIDAD.pdf
PROBLEMAS-RESIS-PARTE-1.pdf
PROBLEMAS-RESIS-PARTE-2.pdf
PROBLEMAS-CALCULO-MATRICIAL.pdf
aeroo10.pdf

apuntes

-

APUNTES ACADEMIA PEI 2

Apuntes de toda la parte 2 de resis de academia

RESIS-PARTE-2.pdf
ESTRUCTURAS-CALCULO-MATRICIAL.pdf
aeroo10-2.pdf

He publicado nuevos apuntes de 2º Resistencia de Materiales y Elasticidad: Formulario-Pandeo.pdf

1 página

examenes

-

EXÁMENES (DE PRÁCTICAS INCLUIDOS) RESUELTOS TOP PARTE 2

Exámenes resueltos paso a paso, incluyendo los de las prácticas (al final de cada documento)

PEI-2-24-25.pdf

He publicado nuevos apuntes de 2º Resistencia de Materiales y Elasticidad: practica-2-teoremas-2025.png

Imagen

He publicado nuevos examenes de 2º Resistencia de Materiales y Elasticidad: practica-teoremas-mohr-2025.png

Imagen

apuntes

-

APUNTES TOP

Apuntes actualizados día a día

1.-ALGEBRA-Y-CALCULO-DE-TENSORES.pdf
2.-DESCRIPCION-DE-LA-DEFORMACION.pdf
3.-TENSION-Y-ELASTICIDAD-LINEAL.pdf
4.-PRINCIPIOS-ENERGETICOS-Y-ELEMENTOS-ESTRUCTURALES.pdf
5.-AXIL.pdf
6.-TORSION.pdf

apuntes

-

FORMULARIOS DE EXAMEN CURSO COMPLETO

He publicado nuevos apuntes de 2º Resistencia de Materiales y Elasticidad: FORMULARIOS DE EXAMEN CURSO COMPLETO

FORMULARIO-ELASTICIDAD-COMPLETO-ipad.pdf
FORMULARIO-RESISTENCIA-PEI-1-COMPLETO.pdf
FORMULARIO-RESISTENCIA-PARTE-2-COMPLETOS.pdf
FORMULARIO-MATRICIAL-COMPLETO.pdf

ejercicios

-

EJERCICIOS MOODLE RESUELTOS TOP

Ejercicios de cada tema resueltos

1.-ALGEBRA-Y-CALCULO-DE-TENSORES.pdf
2.-DESCRIPCION-DE-LA-DEFORMACION.pdf
3.-TENSION-Y-ELASTICIDAD-LINEAL.pdf
5.-AXIL.pdf
6.-TORSION.pdf
7-8.-FLEXION-Y-CORTANTE.pdf

He publicado nuevos apuntes de 2º Resistencia de Materiales y Elasticidad: formulario-flexion-y-cortante.pdf

3 páginas

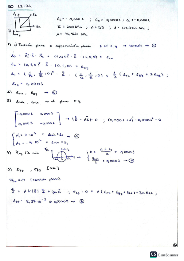
Parcial 2

6 páginas

Parcial 2

6 páginas

Parcial 2

9 páginas

Parcial 2

9 páginas

Parcial 2

6 páginas

Parcial 2

4 páginas

Parcial 2

5 páginas

ejercicios

-

PROBLEMAS DE EXAMEN ACADEMIA

Se irá actualizando. Problemas de TODO EL CURSO

Problemas-ELASTICIDAD-resueltos-paso-a-paso.pdf
Problemas-RESISTENCIA-resueltos-paso-a-paso.pdf
PROBLEMAS-RESIS-PARTE-2-RESUELTOS.pdf

He publicado nuevos apuntes de 2º Resistencia de Materiales y Elasticidad: Apuntes-parcial-1.pdf

3 páginas

He publicado nuevos examenes de 2º Resistencia de Materiales y Elasticidad: Examen-global-mayo-2023-solucion.pdf

4 páginas

He publicado nuevos examenes de 2º Resistencia de Materiales y Elasticidad: Examen-global-mayo-2022-solucion.pdf

2 páginas

He publicado nuevos examenes de 2º Resistencia de Materiales y Elasticidad: Examen-global-mayo-2021-solucion.pdf

4 páginas

He publicado nuevos examenes de 2º Resistencia de Materiales y Elasticidad: Examen-global-mayo-2019-solucion.pdf

2 páginas

He publicado nuevos examenes de 2º Resistencia de Materiales y Elasticidad: Prueba-practica-5-cortante.pdf

1 página

He publicado nuevos examenes de 2º Resistencia de Materiales y Elasticidad: Prueba-practica-4-flexion.pdf

1 página

He publicado nuevos examenes de 2º Resistencia de Materiales y Elasticidad: Prueba-practica-3-torsion.pdf

1 página

He publicado nuevos examenes de 2º Resistencia de Materiales y Elasticidad: Prueba-practica-2-axil.pdf

2 páginas

He publicado nuevos examenes de 2º Resistencia de Materiales y Elasticidad: Prueba-practica-1.pdf

1 página

He publicado nuevos apuntes de 2º Resistencia de Materiales y Elasticidad: Tema-2.-Ejercicios-Vigas.pdf

3 páginas

He publicado nuevos examenes de 2º Resistencia de Materiales y Elasticidad: PEI-1-2526.pdf

20 páginas

apuntes

-

APUNTES PEI 1

He publicado nuevos apuntes de 2º Resistencia de Materiales y Elasticidad: APUNTES PEI 1

1.-INTRODUCCION-A-LA-MECANICA-DE-LOS-MATERIALES.pdf
2.-TENSION-O-ESFUERZO.pdf
3.DEFORMACION.pdf
45.PROPIEDADES-MECANICAS.pdf
67.PROBLEMA-ELASTICO-LINEAL.pdf
8.TRABAJO-Y-ENERGIA.pdf

examenes

-

EXÁMENES RESUELTOS TOP PARTE 1

Exámenes de los últimos años resueltos paso a paso

PEI-1-24-25.pdf

He publicado nuevos apuntes de 2º Resistencia de Materiales y Elasticidad: ResistenciadeMaterialesyElasticidad2.pdf

8 páginas

examenes

-

EXÁMENES PEI 1 RESUELTOS PASO A PASO

Tienen tambien la solucion oficial. Algunos ejercicios son resueltos por academia

PEI-1-20-21-RESUELTO-PASO-A-PASO.pdf
ORDINARIO-20-21-RESUELTO-PASO-A-PASO.pdf
PEI-1-21-22-RESUELTO-PASO-A-PASO.pdf.pdf
PEI-1-24-25-RESUELTO-PASO-A-PASO.pdf
ORDINARIO-24-25-RESUELTO-PASO-A-PASO.pdf.pdf
EXTRA-24-25-RESUELTO-PASO-A-PASO.pdf

Ejercicios+practica

4 páginas

examenes

-

EXÁMENES 2022-23 resolución iPad

Exámenes del curso 2022-2023 resueltos en iPad paso a paso. PEI 1 2022-23 ORDI 2022-23 PEI 2 2022-23 EXTRA 2022-23

PEI-1-2022-23-resolucion-ipad.pdf
ORDINARIO-parte-1-2022-23-resolucion-iPad.pdf
EXTRA-2022-23-parte-1-PROBLEMA-3.pdf

Ejercicios+practica de clase

6 páginas

apuntes

-

Apuntes de Resistencia de Materiales (Primera parte)

Apuntes de la asignatura de Resistencia de los Materiales. Ahora mismo está subido todo lo que entra en la PEI del 27 de marzo (Temas 1-17). Dentro de los apuntes también hay algún ejercicio a modo de ejemplo (en el de torsión hay 4 ejercicios resueltos)

ELASTICIDADT1-5.pdf
ELASTICIDADT6-10.pdf
RESISMATST11-16.pdf
RESISMATST17TorsionEjs.pdf

examenes

-

EXÁMENES 2023-24 resueltos iPad

Exámenes 2023-2024 resueltos paso a paso en iPad.

PEI-1-2023-24-resuelto-iPad.pdf
ORDI-2023-24-parte-1-resolucion.pdf

Ejercicios+practica

6 páginas

examenes

-

EXÁMENES 2024-25 RESUELTOS iPad

Colección examenes curso 2024-2025 resueltos completos paso a paso en iPad

PEI-1-2024-25-resolucion-iPad.pdf
ORDINARIO-PARTE-1-2024-25-resolucion-iPad.pdf
EXTRA-2024-25-parte-1.pdf

examenes

-

Ejercicios Examen

He publicado nuevos examenes de 2º Resistencia de Materiales y Elasticidad: Ejercicios Examen

Axil-torsion-hiperestaticos.pdf
Axil-torsion-isoestaticos.pdf
Depositos.pdf
Elasticidad.pdf
Geometria-de-tensiones.pdf
Leyes-de-esfuerzos-hiperestaticos.pdf

examenes

-

EXÁMENES PEI 1 resolución iPad

Intentaré subir la mayor cantidad de exámenes posible desde 2015-2025 para PEI 1. Los voy actualizando.

ORDI-2015-PEI-1.pdf
PEI-1-2016-17-resolucion-iPad.pdf.pdf
PEI-1-2017-18-resolucion-ipad.pdf
ORDI-2017-18-resolucion-ipad.pdf
PEI-1-2018-19-resolucion-ipad.pdf
ORDI-2020-21-resolucion-iPad.pdf

examenes

-

EXÁMENES 2021-2022 resolución iPad

Resolución de todos los exámenes del curso 2021/22 en iPad ejercicio por ejercicio.

PEI-1-2021-22-resolucion-iPad.pdf
ORDINARIO parte 1-2021-22-resolucion-iPad.pdf.pdf

Apuntes completos incluidos prontuarios

62 páginas

apuntes

-

APUNTES PEI 1 academia

Apuntes tema por tema de la parte 1.

TEMA-1-TENSIONES-Y-ESFUERZOS.pdf.pdf
TEMA-2-DEFORMACIONES.pdf
TEMA-3-PROP.-MECANICAS-Y-ECS.-CONSTITUTIVAS.pdf
TEMA-4-ESTADOS-BIDIMENSIONALES.pdf
TEMA-5-ENERGIA-Y-TEORIA-DE-FALLO.pdf
RESIS-PARTE-1-COMPLETA-academia.pdf
Anónimo

@Anónimo

examenes

-

PEI 1

Recopilación PEI 1

PEI1ORDINARIO2013.pdf
PEI1ORDINARIO20151.pdf
PEI1ORDINARIO2015.pdf
PEI1ORDINARIO2017.pdf
PEI1ORDINARIO2020.pdf
PEI1ORDINARIO2022.pdf

examenes

-

Exámenes Resueltos PEI 1 Resubida

He publicado nuevos examenes de 2º Resistencia de Materiales y Elasticidad: Exámenes Resueltos PEI 1 Resubida

Extraordinario-23-24.pdf
Ordinario-23-24.pdf
PEI-1-23-24.pdf
PEI-1-22-23.pdf
Ordinario-22-23.pdf
PEI-21-22.pdf

examenes

-

EXAMENES 2024-2025 Con Solución

He publicado nuevos examenes de 2º Resistencia de Materiales y Elasticidad: EXAMENES 2024-2025 Con Solución

PEI-1-25.pdf
PEI-2-25.pdf
OrdinarioPEI-2-2025.pdf
OrdinarioPEI-1-2025.pdf
Extraordinario-PEI-1-2024-25.pdf
Extraordinario-PEI-2-2024-25.pdf

examenes

-

Exámenes 2023-2024 Con Solución

He publicado nuevos examenes de 2º Resistencia de Materiales y Elasticidad: Exámenes 2023-2024 Con Solución

PEI-1-2023-24.pdf.pdf
PEI-2-2023-24.pdf.pdf
Extraordinario-PEI-1 2023-24.pdf.pdf
Ordinario-P1-2023-24.pdf
Ordinario-P2-2023-24.pdf
Extraordinario-PEI-2-2023-24.pdf

examenes

-

Exámenes 2022-2023 Con Solución

He publicado nuevos examenes de 2º Resistencia de Materiales y Elasticidad: Exámenes 2022-2023 Con Solución

PEI-1-2022-23.pdf.pdf
Ordinario-P1-2022-23.pdf.pdf
PEI-2-2022-23.pdf.pdf
Ordinario-P2-2022-23.pdf.pdf
EXTRAORDINARIO-PARTE-2 2022-23.pdf.pdf
Extraordinario-P1-2022-23.pdf

examenes

-

Examenes 2021-2022 Con Solución

He publicado nuevos examenes de 2º Resistencia de Materiales y Elasticidad: Examenes 2021-2022 Con Solución

Ordinario-P2-2021-22.pdf
PEI-2-2021-2022.pdf

He publicado nuevos apuntes de 2º Resistencia de Materiales y Elasticidad: ResistenciadeMaterialesyElasticidad3.pdf

10 páginas

He publicado nuevos apuntes de 2º Resistencia de Materiales y Elasticidad: ResistenciadeMaterialesyElasticidad5.pdf

4 páginas

examenes

-

TODOS los EXAMENES con SOLUCION 2015-2024

He publicado nuevos examenes de 2º Resistencia de Materiales y Elasticidad: TODOS los EXAMENES con SOLUCION 2015-2024

PEI-2-2024.pdf
PEI-2-2023.pdf
PEI-2-2021.pdf
PEI-2-2019.pdf
PEI-2-2018.pdf
PEI-2-2017.pdf

apuntes

-

Apuntes Resis

He publicado nuevos apuntes de 2º Resistencia de Materiales y Elasticidad: Apuntes Resis

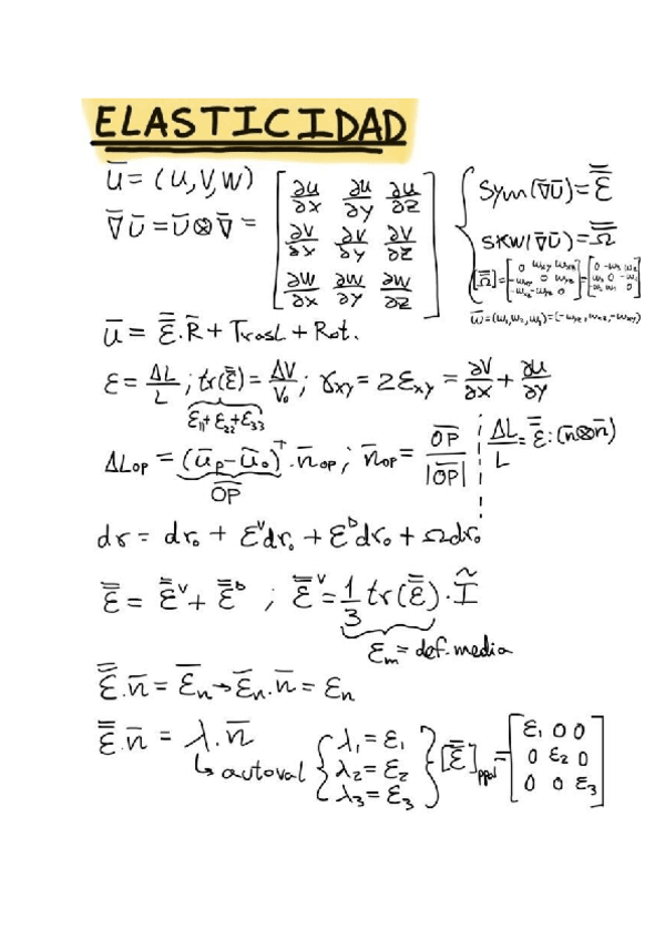
0.-Algebra-tensorial.pdf
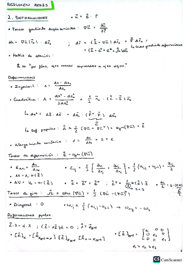
1.Deformaciones.pdf
2.Tension-y-elasticidad.pdf
3.Propiedades-mecanicas.pdf
4.Principios-energeticos.pdf

He publicado nuevos apuntes de 2º Resistencia de Materiales y Elasticidad: ResistenciadeMaterialesyElasticidad1.pdf

3 páginas