Todo
Apuntes
Ejercicios
Exámenes
Otros
Prácticas
Trabajos
chevron_left
chevron_right

ejercicios

-

Boletines resueltos

He publicado nuevos ejercicios de 2º Resistencia de Materiales: Boletines resueltos

Boletin-1-resuelto.pdf
Boletin-2-resuelto.pdf
Boletin-3-resuelto.pdf
Boletin-4-resuelto.pdf

He publicado nuevos apuntes de 2º Resistencia de Materiales: RESUMEN-TODO.pdf

2 páginas

He publicado nuevos apuntes de 2º Resistencia de Materiales: boletin3-resolucion-LauraVeiga.pdf

4 páginas

He publicado nuevos apuntes de 2º Resistencia de Materiales: ejsOtrosAnos.pdf

1 página
Anónimo

@Anónimo

He publicado nuevos apuntes de 2º Resistencia de Materiales: BOLETIN-4-SOLUCIONES.pdf

18 páginas

He publicado nuevos apuntes de 2º Resistencia de Materiales: RESUMEN-TODO.pdf

2 páginas

He publicado nuevos apuntes de 2º Resistencia de Materiales: Apuntes-4-parcial.pdf

7 páginas

He publicado nuevos trabajos de 2º Resistencia de Materiales: Boletin-4-para-entregar.pdf

9 páginas

He publicado nuevos apuntes de 2º Resistencia de Materiales: ejs-t5-clase.pdf

1 página

He publicado nuevos apuntes de 2º Resistencia de Materiales: tema-5-apuntes.pdf

2 páginas
Anónimo

@Anónimo

He publicado nuevos apuntes de 2º Resistencia de Materiales: BOLETIN-3-SOLUCIONES.pdf

3 páginas

He publicado nuevos apuntes de 2º Resistencia de Materiales: Apuntes-3-parcial-resis.pdf

3 páginas

He publicado nuevos apuntes de 2º Resistencia de Materiales: ejsT3-clase-th-mohr.pdf

2 páginas
Anónimo

@Anónimo

He publicado nuevos apuntes de 2º Resistencia de Materiales: BOLETIN-1-SOLUCIONES.pdf

6 páginas
Anónimo

@Anónimo

He publicado nuevos apuntes de 2º Resistencia de Materiales: BOLETIN-2-SOLUCIONES.pdf

14 páginas

He publicado nuevos trabajos de 2º Resistencia de Materiales: Boletin-2-para-entregar.pdf

7 páginas

He publicado nuevos apuntes de 2º Resistencia de Materiales: Apuntes-2-parcial.pdf

7 páginas

He publicado nuevos practicas de 2º Resistencia de Materiales: Practica-6-RM.pdf

2 páginas

He publicado nuevos practicas de 2º Resistencia de Materiales: Practica-5-RM.pdf

2 páginas

He publicado nuevos practicas de 2º Resistencia de Materiales: Practica-4-RM.pdf

3 páginas

He publicado nuevos apuntes de 2º Resistencia de Materiales: ejercicios-ejemplo.pdf

1 página

He publicado nuevos apuntes de 2º Resistencia de Materiales: hiperestatica.pdf

1 página

He publicado nuevos apuntes de 2º Resistencia de Materiales: ejsT2.pdf

1 página

He publicado nuevos apuntes de 2º Resistencia de Materiales: boletin-1-Laura-Veiga.pdf

3 páginas

He publicado nuevos apuntes de 2º Resistencia de Materiales: ejsT1.pdf

2 páginas

He publicado nuevos apuntes de 2º Resistencia de Materiales: Apuntes-1-parcial.pdf

8 páginas

He publicado nuevos ejercicios de 2º Resistencia de Materiales: B1-resis.pdf

5 páginas

He publicado nuevos practicas de 2º Resistencia de Materiales: Practica-3.pdf

3 páginas

He publicado nuevos practicas de 2º Resistencia de Materiales: Practica-2.pdf

3 páginas

He publicado nuevos practicas de 2º Resistencia de Materiales: Practica-1.pdf

2 páginas

He publicado nuevos apuntes de 2º Resistencia de Materiales: formulario-2023-esta-aprobamola-D.pdf

1 página

examenes

-

EXÁMENES

He publicado nuevos examenes de 2º Resistencia de Materiales: EXÁMENES

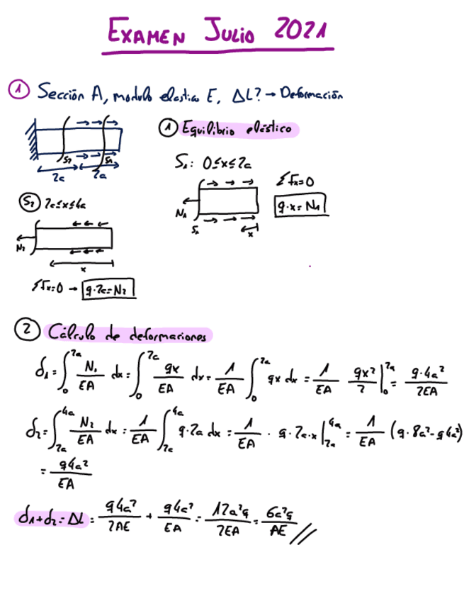
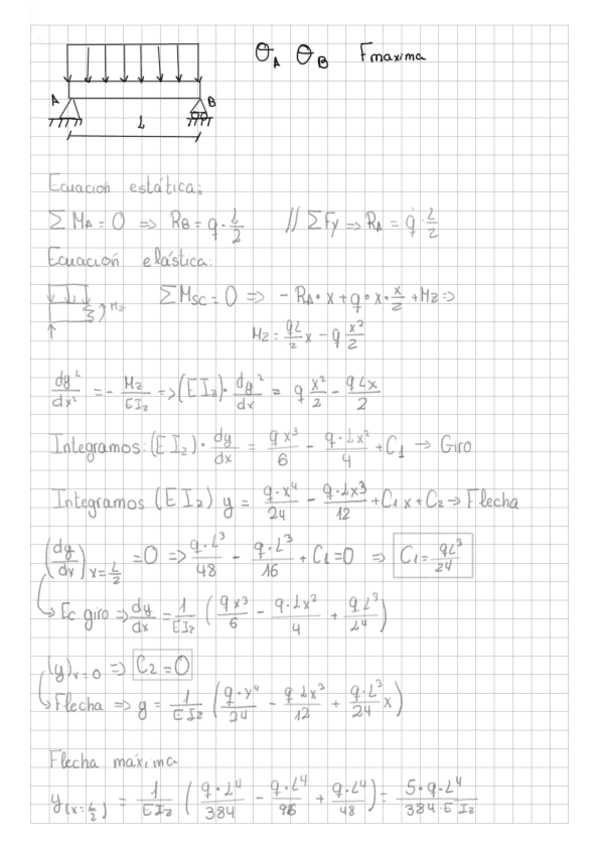
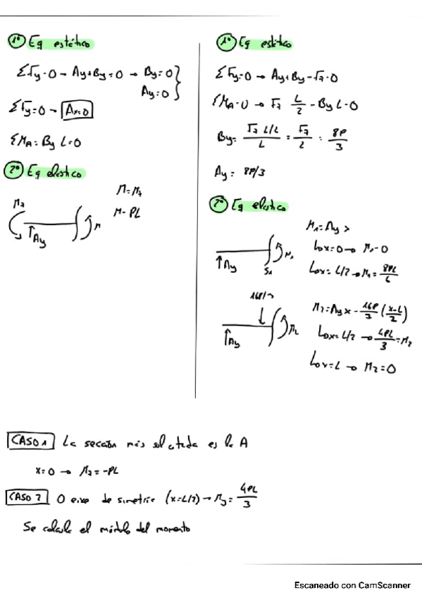
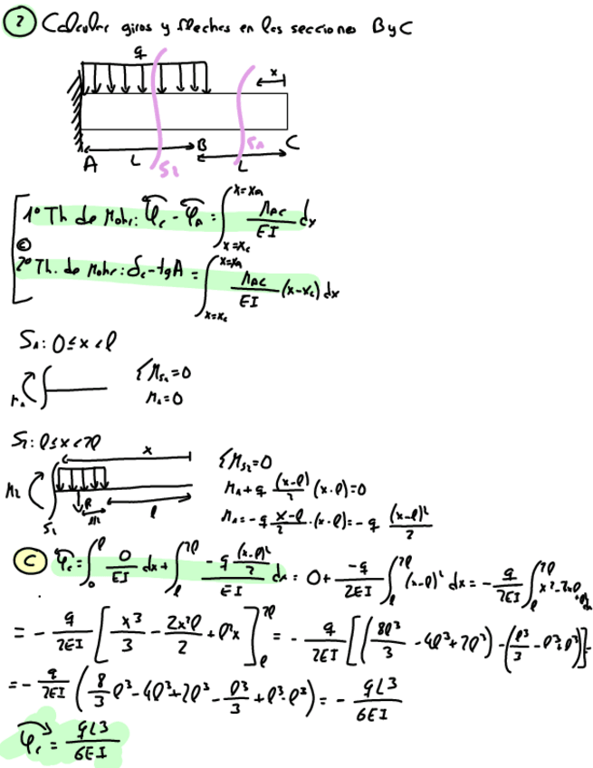
examen-julio-2021-rm.pdf
julio-2019-rm.pdf
Examen-RM-Mayo-2021.pdf
julio-2018-rm.pdf
enero-21-rm-electricos.pdf
enero-19-rm-electricos.pdf

examenes

-

Exámenes resistencia de materiales

He publicado nuevos examenes de 2º Resistencia de Materiales: Exámenes resistencia de materiales

Examen-julio-2021.pdf
Examen-julio-2017.pdf
Examen-enero-2017.pdf
Examen-enero-2018.pdf
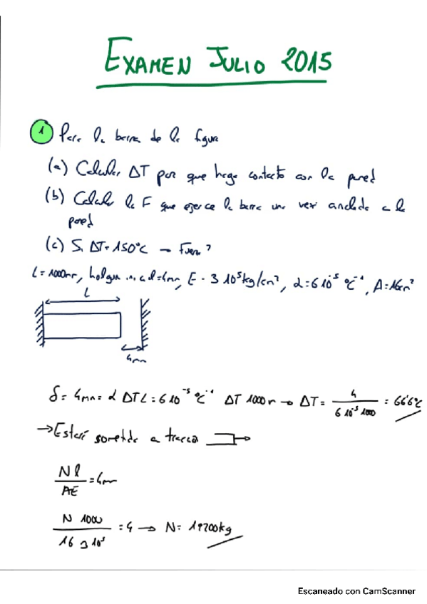
Examen-julio-2015.pdf
Examen-julio-2022.pdf

He publicado nuevos apuntes de 2º Resistencia de Materiales: APUNTES-TEORIA-RM--BOLETIN-1--BOLETIN-2.pdf

6 páginas

He publicado nuevos apuntes de 2º Resistencia de Materiales: Resumen-teoria.pdf

8 páginas

He publicado nuevos practicas de 2º Resistencia de Materiales: Practica-12.pdf

5 páginas

He publicado nuevos practicas de 2º Resistencia de Materiales: Practica-11.pdf

6 páginas

He publicado nuevos practicas de 2º Resistencia de Materiales: Practica-9.pdf

7 páginas

examenes

-

Preparación para los examenes de resis

He publicado nuevos examenes de 2º Resistencia de Materiales: Preparación para los examenes de resis

Estudio-resis-2.pdf
Estudio-resis.pdf

He publicado nuevos ejercicios de 2º Resistencia de Materiales: Boletin-2-RM.pdf

4 páginas

He publicado nuevos ejercicios de 2º Resistencia de Materiales: Boletin-1-Rm.pdf

7 páginas

He publicado nuevos apuntes de 2º Resistencia de Materiales: Practica-resis.pdf

37 páginas

He publicado nuevos examenes de 2º Resistencia de Materiales: Examen-julio-2021-1.pdf

9 páginas

He publicado nuevos apuntes de 2º Resistencia de Materiales: Resumen-T1.pdf

9 páginas

He publicado nuevos apuntes de 2º Resistencia de Materiales: Sin-titulo.pdf

2 páginas

He publicado nuevos otros de 2º Resistencia de Materiales: formulicas-rm.pdf

1 página

He publicado nuevos practicas de 2º Resistencia de Materiales: Practica-10.pdf

5 páginas

practicas

-

Prácticas RM

He publicado nuevos practicas de 2º Resistencia de Materiales: Prácticas RM

Practicas-RM-prob.pdf
Practicas-RM-con-equipos-.pdf
practicas-9-10-11-y-12-rm.pdf

He publicado nuevos apuntes de 2º Resistencia de Materiales: Practica-11.pdf

2 páginas

He publicado nuevos ejercicios de 2º Resistencia de Materiales: boletin-3-rm.pdf

2 páginas

He publicado nuevos ejercicios de 2º Resistencia de Materiales: Boletin-3.pdf

4 páginas

He publicado nuevos practicas de 2º Resistencia de Materiales: Practica-10.pdf

2 páginas

He publicado nuevos apuntes de 2º Resistencia de Materiales: Flexion.pdf

7 páginas
Anónimo

@Anónimo

He publicado nuevos practicas de 2º Resistencia de Materiales: Practica-8.pdf

4 páginas

He publicado nuevos practicas de 2º Resistencia de Materiales: Practica-9.pdf

2 páginas

He publicado nuevos apuntes de 2º Resistencia de Materiales: Clase-RM.pdf

20 páginas

He publicado nuevos practicas de 2º Resistencia de Materiales: Practica-7-RM.pdf

3 páginas

He publicado nuevos practicas de 2º Resistencia de Materiales: Practica-8.pdf

2 páginas

He publicado nuevos ejercicios de 2º Resistencia de Materiales: Boletin-2.pdf

4 páginas

He publicado nuevos ejercicios de 2º Resistencia de Materiales: Practica-6.pdf

2 páginas