chevron_left
chevron_right
Todo
Apuntes
Ejercicios
Exámenes
chevron_left
chevron_right

examenes

-

Exámenes Resueltos

He publicado nuevos examenes de 2º Resistencia de Materiales: Exámenes Resueltos

Convocatoria-Ordinaria-8-06-2021-Con-soluciones.pdf
Convocatoria-Ordinaria-26-01-2024-Con-soluciones.pdf
Convocatoria-Ordinaria-27-01-2023-Con-soluciones.pdf
Convocatoria-Ordinaria-31-05-2022.pdf
Evaluacion-continua-12-05-2022-Con-soluciones.pdf
Evaluacion-continua-12-12-2024-Con-soluciones.pdf
Anónimo

@Anónimo

He publicado nuevos apuntes de 2º Resistencia de Materiales: APUNTES-RESISTENCIA.pdf

12 páginas

He publicado nuevos apuntes de 2º Resistencia de Materiales: Resistencia-de-materiales.pdf

51 páginas
Anónimo

@Anónimo

Enero 2022

3 páginas
Anónimo

@Anónimo

12/12/2022

8 páginas

He publicado nuevos apuntes de 2º Resistencia de Materiales: tensiones-y-deformaciones.pdf

4 páginas

He publicado nuevos apuntes de 2º Resistencia de Materiales: TEMA-2-Traccion-y-Compresion.pdf

2 páginas

He publicado nuevos apuntes de 2º Resistencia de Materiales: TEMA-1-Introduccion-al-estudio-de-la-resistencia-de-materiales.pdf

5 páginas

He publicado nuevos apuntes de 2º Resistencia de Materiales: relacion-entre-estados-tensionales-y-de-deformacion.pdf

2 páginas

He publicado nuevos apuntes de 2º Resistencia de Materiales: TEMA-3-TORSION.pdf

6 páginas

He publicado nuevos apuntes de 2º Resistencia de Materiales: Principios-generales-de-la-Resistencia-de-Materiales.pdf

3 páginas

He publicado nuevos apuntes de 2º Resistencia de Materiales: inicio-resistencia-de-materiales.pdf

4 páginas

apuntes

-

Apuntes Resistencia de Materiales

Ejercicios realizados en forma de práctica

Calculo-secciones-Flexion.pdf

He publicado nuevos apuntes de 2º Resistencia de Materiales: Apuntes-Resistencia-de-Materiales-Apuntes-clase-PA-Ejercicios-varios.pdf

55 páginas

ejercicios

-

Tracción y compresión

He publicado nuevos ejercicios de 2º Resistencia de Materiales: Tracción y compresión

ejercicio-traccion-y-compresion-1.pdf
ejercicio-traccion-comrpesion-3.pdf
4.pdf
5.pdf
traccion-compresion-ejercicios.pdf

ejercicios

-

Torsión

He publicado nuevos ejercicios de 2º Resistencia de Materiales: Torsión

torsion-1.pdf
torsion-2.pdf
torsion-3.pdf
torsion-456.pdf
torsion-78.pdf
ejercicio-torsion.pdf

apuntes

-

Flexión

En esta carpetá se subirá todo lo que se haga en clase de resistencia de materiales, exactamente escrito como el profe

WhatsApp-Image-2022-11-09-at-11.jpg
WhatsApp-Image-2022-11-09-at-11.png
WhatsApp-Image-2022-11-09-at-11.png
WhatsApp-Image-2022-11-09-at-11.png
IMG2649.jpg
IMG2647.jpg
Anónimo

@Anónimo

Apuntes/Formulario para resolver ejercicios típicos de examen con Nelson de profesor

8 páginas

examenes

-

Ejercicios tipo examen

He publicado nuevos examenes de 2º Resistencia de Materiales: Ejercicios tipo examen

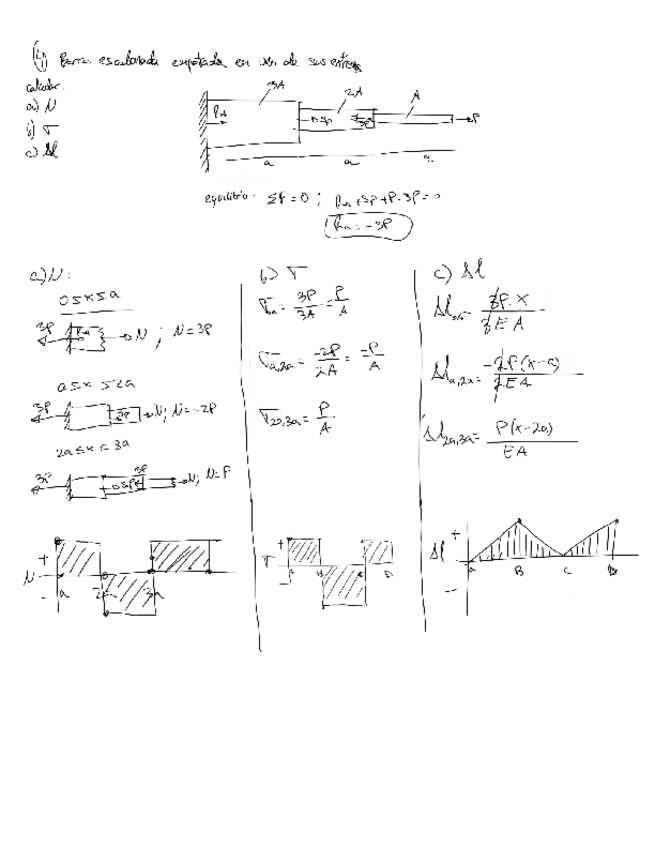
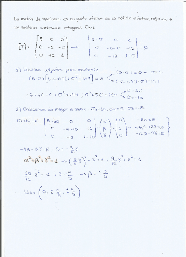
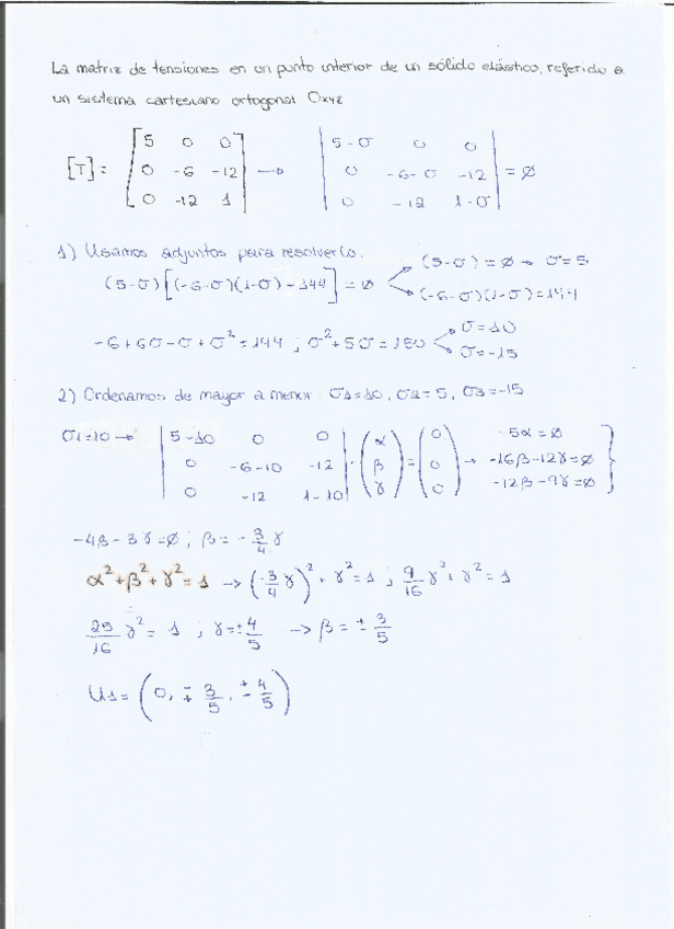
Problema-prueba-nivel.jpg
P1-CONVOCATORIA-ORDINARIA.jpg
P4-CONVOCATORIA-ORDINARIA.jpg
P3-CONVOCATORIA-ORDINARIA.jpg
Resistencia-de-los-Materiales-Ejercicios-de-Examen.pdf
P2-CONVOCATORIA-ORDINARIA.jpg

He publicado nuevos apuntes de 2º Resistencia de Materiales: APUNTES RESISTENCIA.pdf

152 páginas
¡Estás al día!

¡Estás al día!

Has visto todos los archivos