chevron_left
chevron_right
Todo
Apuntes
Ejercicios
Exámenes
Prácticas
chevron_left
chevron_right

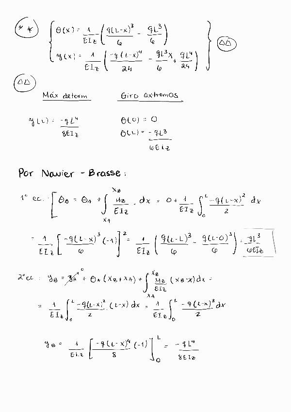
Resolución práctica puntuable

3 páginas

He publicado nuevos examenes de 2º Resistencia de Materiales: ParcialABRIL-2025GIMresuelto.pdf

8 páginas

examenes

-

Examenes Resueltos

He publicado nuevos examenes de 2º Resistencia de Materiales: Examenes Resueltos

ejercicio-resistencia-de-materiales.pdf
JUNIO-2014P2.pdf
JUNIO-2018.pdf
JUNIO-2021.pdf
P5JUNIO-2019P2.pdf
P8DIC-15P2.PDF

Examen de REM Octubre 2025 (Resuelto). CURSO 2025/26.

10 páginas

Examen parcial de REM 2025 (Resuelto). CURSO 2024/25.

8 páginas

Examen de REM junio 2025 (Resuelto). CURSO 2024/25.

9 páginas

He publicado nuevos ejercicios de 2º Resistencia de Materiales: Tema-5-problemas.pdf

15 páginas

He publicado nuevos ejercicios de 2º Resistencia de Materiales: Tema-3-problemas.pdf

24 páginas

He publicado nuevos ejercicios de 2º Resistencia de Materiales: Tema-4-problemas.pdf

13 páginas

He publicado nuevos ejercicios de 2º Resistencia de Materiales: Tema-2-problemas.pdf

6 páginas

He publicado nuevos ejercicios de 2º Resistencia de Materiales: Tema-6-problemas.pdf

15 páginas

He publicado nuevos ejercicios de 2º Resistencia de Materiales: Tema-6-Problemas250515103212.pdf

15 páginas

He publicado nuevos apuntes de 2º Resistencia de Materiales: Tema-5-teoria250404092541.pdf

10 páginas

He publicado nuevos apuntes de 2º Resistencia de Materiales: Tema-4-teoria250404092419.pdf

22 páginas

He publicado nuevos ejercicios de 2º Resistencia de Materiales: Tema-4-Problemas250408084052.pdf

13 páginas

He publicado nuevos ejercicios de 2º Resistencia de Materiales: Tema-3-problemas250404092340.pdf

24 páginas

He publicado nuevos apuntes de 2º Resistencia de Materiales: Tema-3-teoria250404092253.pdf

15 páginas

He publicado nuevos apuntes de 2º Resistencia de Materiales: Tema-2-Teoria250404092019.pdf

18 páginas

He publicado nuevos apuntes de 2º Resistencia de Materiales: Tema-1-teoria250404092138.pdf

10 páginas

He publicado nuevos ejercicios de 2º Resistencia de Materiales: Tema-2-problemas250404092105.pdf

6 páginas

Problemas, ejercicios y teoría

23 páginas

He publicado nuevos apuntes de 2º Resistencia de Materiales: Presentacion250301191707.pdf

6 páginas

He publicado nuevos practicas de 2º Resistencia de Materiales: Practica-4250515122758.pdf

1 página

He publicado nuevos practicas de 2º Resistencia de Materiales: Practica-2250404092733.pdf

4 páginas

He publicado nuevos apuntes de 2º Resistencia de Materiales: TEMA06REMHIPERESTATICIDAD34e432369e79fe48b168b250512185522.pdf

7 páginas
Anónimo

@Anónimo

He publicado nuevos examenes de 2º Resistencia de Materiales: Examen-REM-diciembre-2022.pdf

11 páginas
Anónimo

@Anónimo

He publicado nuevos examenes de 2º Resistencia de Materiales: Examen-REM-junio-2023.pdf

17 páginas

He publicado nuevos examenes de 2º Resistencia de Materiales: EJERCICIOS- EXAMENES RESUELTOS.pdf

54 páginas

He publicado nuevos examenes de 2º Resistencia de Materiales: examenes-resueltos-REM.pdf

135 páginas
Anónimo

@Anónimo

He publicado nuevos examenes de 2º Resistencia de Materiales: Examen-REM-Septiembre-2018.pdf

11 páginas
Anónimo

@Anónimo

He publicado nuevos examenes de 2º Resistencia de Materiales: Examen-REM-septiembre-2019.pdf

10 páginas
Anónimo

@Anónimo

He publicado nuevos examenes de 2º Resistencia de Materiales: Examen-REM-septiembre-2021.pdf

11 páginas
Anónimo

@Anónimo

He publicado nuevos examenes de 2º Resistencia de Materiales: Examen-REM-septiembre-2022.pdf

8 páginas
Anónimo

@Anónimo

He publicado nuevos examenes de 2º Resistencia de Materiales: EXAMEN-MODELO-3.pdf

3 páginas
Anónimo

@Anónimo

He publicado nuevos examenes de 2º Resistencia de Materiales: EXAMEN-MODELO-2.pdf

2 páginas
Anónimo

@Anónimo

He publicado nuevos examenes de 2º Resistencia de Materiales: EXAMEN-MODELO-1.pdf

2 páginas

He publicado nuevos ejercicios de 2º Resistencia de Materiales: Ejercicios-REM-6.pdf

8 páginas

He publicado nuevos ejercicios de 2º Resistencia de Materiales: Ejercicios-REM-5.pdf

9 páginas

He publicado nuevos ejercicios de 2º Resistencia de Materiales: Ejercicios-REM-4.pdf

7 páginas

He publicado nuevos ejercicios de 2º Resistencia de Materiales: Ejercicios-REM-3.pdf

10 páginas

He publicado nuevos ejercicios de 2º Resistencia de Materiales: Ejercicio-REM-2.pdf

10 páginas

He publicado nuevos ejercicios de 2º Resistencia de Materiales: Ejercicios-REM-1.pdf

10 páginas

He publicado nuevos apuntes de 2º Resistencia de Materiales: REM.pdf

31 páginas

He publicado nuevos apuntes de 2º Resistencia de Materiales: problemas TEMA 4_1.pdf

2 páginas

He publicado nuevos apuntes de 2º Resistencia de Materiales: problemas TEMA 5_1.pdf

2 páginas

He publicado nuevos apuntes de 2º Resistencia de Materiales: problemas TEMA 2_3.pdf

1 página

He publicado nuevos apuntes de 2º Resistencia de Materiales: problemas TEMA 5_2.pdf

1 página

He publicado nuevos apuntes de 2º Resistencia de Materiales: problemas TEMA 2_2.pdf

1 página

He publicado nuevos apuntes de 2º Resistencia de Materiales: Problemas TEMA 3_1.pdf

2 páginas

He publicado nuevos apuntes de 2º Resistencia de Materiales: problemas TEMA 2_1.pdf

1 página

examenes

-

Examenes

He publicado nuevos examenes de 2º Resistencia de Materiales: Examenes

1206 GIM REM Jun12-corregido.pdf
121129 GIM REM Dic12.pdf
130524 GIM REM May13-resuelto.pdf
140902 GIM REM Sept14.pdf
150619 GIM REM JUN15-corregido.pdf
151120 GIM REM DIC15-CORREGIDO.pdf
Anónimo

@Anónimo

examenes

-

Examenes Resueltos

He publicado nuevos examenes de 2º Resistencia de Materiales: Examenes Resueltos

275211_150619_JUN15_REM_GIM-corregido.pdf
Práctica 1.pdf

He publicado nuevos examenes de 2º Resistencia de Materiales: tipo test.rar

rar

He publicado nuevos examenes de 2º Resistencia de Materiales: ejercicios examen.rar

Miniatura no disponible
rar

apuntes

-

Apuntes Clase

He publicado nuevos apuntes de 2º Resistencia de Materiales: Apuntes Clase

TEMA1_2.pdf
TEMA2_1.pdf
TEMA2_2.pdf
TEMA2_3.pdf
TEMA3_1.pdf
TEMA4_1.pdf
¡Estás al día!

¡Estás al día!

Has visto todos los archivos