Resolución Numérica de Ecuaciones en Derivadas Parciales

chevron_left
chevron_right
Todo
Apuntes
Ejercicios
chevron_left
chevron_right

apuntes

-

Apuntes t1-t6

He publicado nuevos apuntes de 4º Resolución Numérica de Ecuaciones en Derivadas Parciales: Apuntes t1-t6

tema-1.pdf
tema-2.pdf
tema-3.pdf
tema-4.pdf
tema-5.pdf
tema-6.pdf

He publicado nuevos ejercicios de 4º Resolución Numérica de Ecuaciones en Derivadas Parciales: ejercicio-alicia-inventado.pdf

2 páginas

He publicado nuevos ejercicios de 4º Resolución Numérica de Ecuaciones en Derivadas Parciales: PROBLEMA-1-RESUELTO-IMPLICITO.pdf

3 páginas

apuntes

-

Cosas importantes temas 1-5

He publicado nuevos apuntes de 4º Resolución Numérica de Ecuaciones en Derivadas Parciales: Cosas importantes temas 1-5

cosas-importantes-t1.pdf
cosas-importantes-t2-y-t3.pdf
cosas-importantes-t4.pdf
info-importante-tema-5-AAQ.pdf

He publicado nuevos apuntes de 4º Resolución Numérica de Ecuaciones en Derivadas Parciales: Apuntes-1r-Parcial.pdf

20 páginas

He publicado nuevos apuntes de 4º Resolución Numérica de Ecuaciones en Derivadas Parciales: Tema-5.pdf

5 páginas

He publicado nuevos apuntes de 4º Resolución Numérica de Ecuaciones en Derivadas Parciales: Tema-4.pdf

6 páginas

He publicado nuevos apuntes de 4º Resolución Numérica de Ecuaciones en Derivadas Parciales: Tema-3.pdf

14 páginas

He publicado nuevos ejercicios de 4º Resolución Numérica de Ecuaciones en Derivadas Parciales: Problemas-Tema-6.pdf

4 páginas

He publicado nuevos apuntes de 4º Resolución Numérica de Ecuaciones en Derivadas Parciales: Resumen-Tema-6.pdf

5 páginas

He publicado nuevos ejercicios de 4º Resolución Numérica de Ecuaciones en Derivadas Parciales: Problemas-Tema-4.pdf

13 páginas

He publicado nuevos ejercicios de 4º Resolución Numérica de Ecuaciones en Derivadas Parciales: Problemas-Tema-3.pdf

14 páginas

He publicado nuevos ejercicios de 4º Resolución Numérica de Ecuaciones en Derivadas Parciales: Problemas-Tema-2.pdf

7 páginas

He publicado nuevos ejercicios de 4º Resolución Numérica de Ecuaciones en Derivadas Parciales: Boletin-de-problemas.pdf

3 páginas

ejercicios

-

Problemas Tema 2

He publicado nuevos ejercicios de 4º Resolución Numérica de Ecuaciones en Derivadas Parciales: Problemas Tema 2

ejercicios12345tema2.pdf
ejercicios910tema2.pdf
ejercicios1234567910PAPEL.pdf

He publicado nuevos apuntes de 4º Resolución Numérica de Ecuaciones en Derivadas Parciales: Tema-7.-Resolucion-Numerica-de-EDPs-Elipticas.pdf

3 páginas

He publicado nuevos apuntes de 4º Resolución Numérica de Ecuaciones en Derivadas Parciales: Tema-6.-Resolucion-Numerica-de-EDPs-Hiperbolicas.pdf

3 páginas

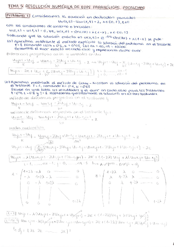
He publicado nuevos apuntes de 4º Resolución Numérica de Ecuaciones en Derivadas Parciales: Tema-5.-Resolucion-Numerica-de-EDPs-Parabolicas.pdf

12 páginas

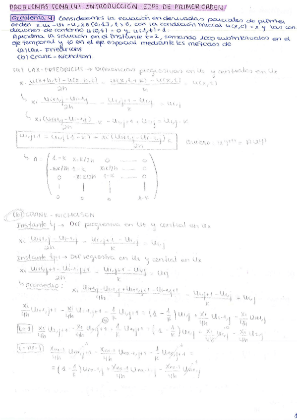
He publicado nuevos apuntes de 4º Resolución Numérica de Ecuaciones en Derivadas Parciales: Tema-4.-Introduccion-EDPs-de-Primer-Orden.pdf

13 páginas

He publicado nuevos apuntes de 4º Resolución Numérica de Ecuaciones en Derivadas Parciales: Tema-2.-Sistemas-Dinamicos-Unidimensionales.pdf

6 páginas

He publicado nuevos apuntes de 4º Resolución Numérica de Ecuaciones en Derivadas Parciales: Tema-3.-Sistemas-Dinamicos-Multidimensionales.pdf

13 páginas

He publicado nuevos apuntes de 4º Resolución Numérica de Ecuaciones en Derivadas Parciales: Segundo-Parcial.pdf

1 página

He publicado nuevos apuntes de 4º Resolución Numérica de Ecuaciones en Derivadas Parciales: Problemas-Tema-6.pdf

7 páginas

He publicado nuevos apuntes de 4º Resolución Numérica de Ecuaciones en Derivadas Parciales: Problemas-Tema-7.pdf

3 páginas

He publicado nuevos apuntes de 4º Resolución Numérica de Ecuaciones en Derivadas Parciales: Problemas-Tema-4.pdf

4 páginas

He publicado nuevos apuntes de 4º Resolución Numérica de Ecuaciones en Derivadas Parciales: Problemas-Tema-3.pdf

5 páginas

He publicado nuevos apuntes de 4º Resolución Numérica de Ecuaciones en Derivadas Parciales: Problemas-Tema-2.pdf

4 páginas

He publicado nuevos apuntes de 4º Resolución Numérica de Ecuaciones en Derivadas Parciales: Primer-Parcial.pdf

2 páginas

He publicado nuevos apuntes de 4º Resolución Numérica de Ecuaciones en Derivadas Parciales: Ejercicios-Tema-5.pdf

5 páginas

ejercicios

-

Problemas T5 EDPs Parabólicas

He publicado nuevos ejercicios de 4º Resolución Numérica de Ecuaciones en Derivadas Parciales: Problemas T5 EDPs Parabólicas

Ejemplo-T5-EDPs-Parabolicas.pdf

He publicado nuevos ejercicios de 4º Resolución Numérica de Ecuaciones en Derivadas Parciales: Tema-2-Problemas.pdf

4 páginas

He publicado nuevos ejercicios de 4º Resolución Numérica de Ecuaciones en Derivadas Parciales: Tema-3-Ejemplo-sist-No-lineal.pdf

2 páginas

He publicado nuevos ejercicios de 4º Resolución Numérica de Ecuaciones en Derivadas Parciales: Tema-3-Problemas.pdf

6 páginas

He publicado nuevos apuntes de 4º Resolución Numérica de Ecuaciones en Derivadas Parciales: Metodo-SOR-para-EDPs-Elipticas-T7.pdf

2 páginas

ejercicios

-

Problemas T6 EDPs Hiperbólicas

He publicado nuevos ejercicios de 4º Resolución Numérica de Ecuaciones en Derivadas Parciales: Problemas T6 EDPs Hiperbólicas

ejemplo-T6-hiperbolicas.pdf

ejercicios

-

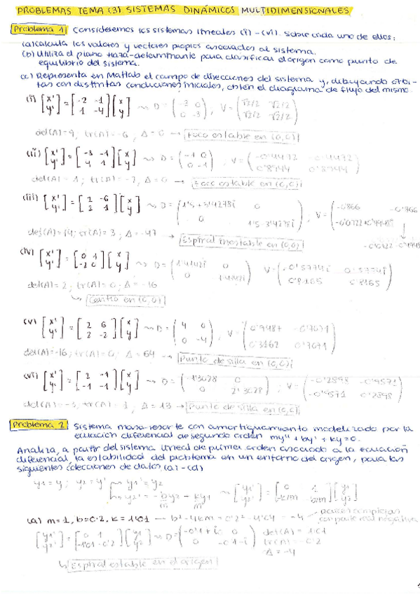
Problemas Tema 3 SD Multidimensional

He publicado nuevos ejercicios de 4º Resolución Numérica de Ecuaciones en Derivadas Parciales: Problemas Tema 3 SD Multidimensional

Problema-1-Tema-3-SD.pdf
Practica-1-Problema-2-Tema-3.pdf
¡Estás al día!

¡Estás al día!

Has visto todos los archivos