chevron_left
chevron_right
Todo
Apuntes
Exámenes
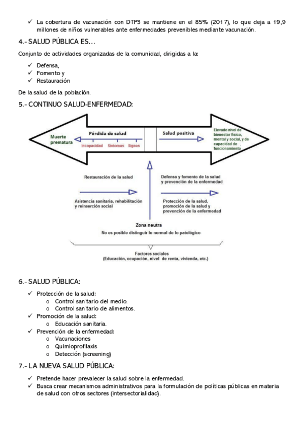
Otros
Trabajos
chevron_left
chevron_right

He publicado nuevos examenes de 2º Salud Pública: examen-final-preparatorio.pdf

28 páginas

He publicado nuevos apuntes de 2º Salud Pública: TABLA-ENFERMEDADES-TRANSMISIBLES-SALUD-PUBLICA.pdf

6 páginas

He publicado nuevos apuntes de 2º Salud Pública: PREGUNTAS-TEST-Y-DESARROLLO-SALUD-PUBLICA.pdf

7 páginas

He publicado nuevos apuntes de 2º Salud Pública: Salud-publica-preguntas-cortasconceptos-importantes.pdf

4 páginas

He publicado nuevos apuntes de 2º Salud Pública: Test-SALUD-PUBLICA.pdf

18 páginas

He publicado nuevos trabajos de 2º Salud Pública: Trabajo-comunitaria-Mapeo-Activo-3oEnf.pdf

8 páginas
Anónimo

@Anónimo

otros

-

Loyola

Presentaciones, Temario y Test de repaso

Presentaciones-Unidas.pdf
Salud-y-Comunidad.pdf
Tests-Repaso-Completo.pdf

En este documento vienen preguntas importantes de salud publica. Yo saqué un 7 usando este documento junto con los test que hay subidos en la plataforma

8 páginas

He publicado nuevos apuntes de 2º Salud Pública: 20 temas.pdf

39 páginas
Anónimo

@Anónimo

He publicado nuevos apuntes de 2º Salud Pública: Test-de-microbiologia-I-y-II.pdf

1 página

apuntes

-

TEMAS 19-36 (+ TEMA 12)

He publicado nuevos apuntes de 2º Salud Pública: TEMAS 19-36 (+ TEMA 12)

SALUD-PUBLICA-36-1.pdf
SALUD-PUBLICA-35-1.pdf
SALUD-PUBLICA-34.pdf
SALUD-PUBLICA-32.pdf
SALUD-PUBLICA-33.pdf
SALUD-PUBLICA-31.pdf

He publicado nuevos apuntes de 2º Salud Pública: tema-10-tabaco..pdf

4 páginas

He publicado nuevos apuntes de 2º Salud Pública: TEMA-1-SALUD-PUBLICA-2023-24.pdf

3 páginas

apuntes

-

ESQUEMAS 2º PARCIAL

He publicado nuevos apuntes de 2º Salud Pública: ESQUEMAS 2º PARCIAL

TEMA-20.pdf
TEMA-21.-SP-ENF-RESPIRATORIAS.pdf
TEMA-23.-SP-TUBERCULOSIS.pdf
TEMA-22.-SP-COVID.pdf
TEMA-36.-SP-ENF-NEURODEGENERATIVA.pdf
TEMA-33.-SP-CANCER.pdf
Anónimo

@Anónimo

apuntes

-

Temas 2º Parcial

He publicado nuevos apuntes de 2º Salud Pública: Temas 2º Parcial

Epidemiologia-y-prevencion-de-las-enfermedades-neurodegenerativas.pdf
VIRUELA-DEL-MONO.pdf
DIABETES.pdf
INFECCION-HOSPITALARIA.pdf
EPIDEMIOLOGIA-Y-PREVENCION-DE-ACCIDENTES-DE.pdf
Enfermedad-Pulmonar-Obstructiva-Cronica.pdf

He publicado nuevos apuntes de 2º Salud Pública: TEMA-23.pdf

9 páginas

He publicado nuevos apuntes de 2º Salud Pública: TEMA-22.pdf

20 páginas

He publicado nuevos apuntes de 2º Salud Pública: TEMA-21.pdf

8 páginas

He publicado nuevos apuntes de 2º Salud Pública: TEMA-20.pdf

5 páginas

He publicado nuevos apuntes de 2º Salud Pública: TEMA-19.pdf

5 páginas

He publicado nuevos examenes de 2º Salud Pública: Preguntas-cortas-salud-publica.pdf

4 páginas

He publicado nuevos apuntes de 2º Salud Pública: TEMA-18.pdf

11 páginas

He publicado nuevos apuntes de 2º Salud Pública: TEMA-17.docx

word

He publicado nuevos apuntes de 2º Salud Pública: TEMA-16.pdf

9 páginas

He publicado nuevos apuntes de 2º Salud Pública: TEMA-15.pdf

6 páginas

He publicado nuevos apuntes de 2º Salud Pública: TEMA-14.pdf

5 páginas

He publicado nuevos apuntes de 2º Salud Pública: TEMA-13.pdf

6 páginas

He publicado nuevos apuntes de 2º Salud Pública: TEMA-13.pdf

9 páginas

He publicado nuevos apuntes de 2º Salud Pública: TEMA-11.pdf

10 páginas

He publicado nuevos apuntes de 2º Salud Pública: TEMA-10.pdf

6 páginas

He publicado nuevos apuntes de 2º Salud Pública: TEMA-9.pdf

7 páginas

He publicado nuevos apuntes de 2º Salud Pública: TEMA-6.pdf

10 páginas

He publicado nuevos apuntes de 2º Salud Pública: TEMA-8.pdf

5 páginas

apuntes

-

Temas Salud Pública

He publicado nuevos apuntes de 2º Salud Pública: Temas Salud Pública

Tema-4-Salud-Publica.pdf
Tema-2-Salud-Publica.pdf
Tema-3-Salud-Publica.pdf
Tema-1-Salud-Publica-.pdf
Tema-5-Salud-Publica.pdf
Tema-6-Salud-Publica.pdf

He publicado nuevos apuntes de 2º Salud Pública: TEMA-5.pdf

5 páginas

He publicado nuevos apuntes de 2º Salud Pública: TEMA-4.pdf

5 páginas

He publicado nuevos apuntes de 2º Salud Pública: TEMA-3.pdf

4 páginas

He publicado nuevos apuntes de 2º Salud Pública: TEMA-2.pdf

5 páginas

He publicado nuevos apuntes de 2º Salud Pública: TEMA-AGUA.pdf

12 páginas

He publicado nuevos apuntes de 2º Salud Pública: TEMA-1.pdf

3 páginas

He publicado nuevos apuntes de 2º Salud Pública: TABLA-DE-HEPATITIS.pdf

1 página

He publicado nuevos apuntes de 2º Salud Pública: AGUA-Y-SALUD-PUBLICA.pdf

11 páginas

He publicado nuevos apuntes de 2º Salud Pública: t31-t35.pdf

37 páginas
Anónimo

@Anónimo

He publicado nuevos apuntes de 2º Salud Pública: Tablas-Salud-Publica.pdf

16 páginas
Anónimo

@Anónimo

apuntes

-

Salud Pública (MH)

He publicado nuevos apuntes de 2º Salud Pública: Salud Pública (MH)

Primer-parcial.pdf
Segundo-parcial.pdf

He publicado nuevos apuntes de 2º Salud Pública: PREGUNTAS-SALUD-PUBLICA-AURORA.pdf

4 páginas

He publicado nuevos examenes de 2º Salud Pública: PARCIAL-SP.pdf

6 páginas

He publicado nuevos apuntes de 2º Salud Pública: SALUD-PUBLICA.pdf

24 páginas

apuntes

-

Salud Pública (2020-2021)

He publicado nuevos apuntes de 2º Salud Pública: Salud Pública (2020-2021)

Temas-SP-2.pdf
Temas-SP.pdf
Temas-SP-8.pdf
Temas-SP-9.pdf
Temas-SP-1.pdf
Temas-SP-4.pdf

He publicado nuevos apuntes de 2º Salud Pública: BLOQUE-IV-SALUD-PUBLICA.pdf

36 páginas

He publicado nuevos apuntes de 2º Salud Pública: bloque-iii-salud-publica-2o-parte.pdf

31 páginas

He publicado nuevos apuntes de 2º Salud Pública: BLOQUE-II-SALUD-PUBLICA.pdf

44 páginas

He publicado nuevos apuntes de 2º Salud Pública: BLOQUE-I-SALUD-PUBLICA.pdf

10 páginas

apuntes

-

Resúmenes salud pública 2020

He publicado nuevos apuntes de 2º Salud Pública: Resúmenes salud pública 2020

Temas-8-17.pdf
Tema-3.pdf
Tema-5.pdf
Tema-20-36.pdf
Tema-4.pdf
Tema-7.pdf

He publicado nuevos apuntes de 2º Salud Pública: PREGUNTAS-TIPO-EXAMEN-SALU-PULICA.pdf

2 páginas

He publicado nuevos apuntes de 2º Salud Pública: PREGUNTAS-SALUD-PUBLICA-AURORA.pdf

4 páginas

Recién Actualizado

2 páginas

apuntes

-

Temas 2º Parcial Silvia

He publicado nuevos apuntes de 2º Salud Pública: Temas 2º Parcial Silvia

Tema-30-Epidemiologia-de-las-ECV.pdf
Tema-36-Epidemiologia-y-prevencion-de-accidentes-de-trafico-y-domesticos.pdf
Tema-34-Epidemiologia-y-Prevencion-de-Enfermedades-Bucodentales.pdf
Tema-26-ITS.pdf
Tema-28.pdf

He publicado nuevos apuntes de 2º Salud Pública: Esquema-salud-publica.pdf

2 páginas

He publicado nuevos apuntes de 2º Salud Pública: saludpublica.pdf

89 páginas