Seguridad e Higiene en el Trabajo en el Ámbito Industrial

chevron_left
chevron_right
Todo
Apuntes
Ejercicios
Exámenes
Prácticas
Test
chevron_left
chevron_right

He publicado nuevos examenes de 3º Seguridad e Higiene en el Trabajo en el Ámbito Industrial: Formulario-examen.pdf

29 páginas

He publicado nuevos examenes de 3º Seguridad e Higiene en el Trabajo en el Ámbito Industrial: Examen-Problemas.pdf

3 páginas

He publicado nuevos examenes de 3º Seguridad e Higiene en el Trabajo en el Ámbito Industrial: Preguntas-cortas-teoria.pdf

2 páginas

apuntes

-

Prácticas y exposición

He publicado nuevos apuntes de 3º Seguridad e Higiene en el Trabajo en el Ámbito Industrial: Prácticas y exposición

Medidas-de-Seguridad-en-Robots-y-celulas-robotizadas.pdf
Practica1-SEH.pdf
MariaMolinaPascualpracticaestadistica.pdf
MariaMolinaPascualpracticaaccidente.pdf
PracticaLaboReal.pdf

apuntes

-

Problemas

He publicado nuevos apuntes de 3º Seguridad e Higiene en el Trabajo en el Ámbito Industrial: Problemas

Problemas-Contaminantes-Quimicos.pdf
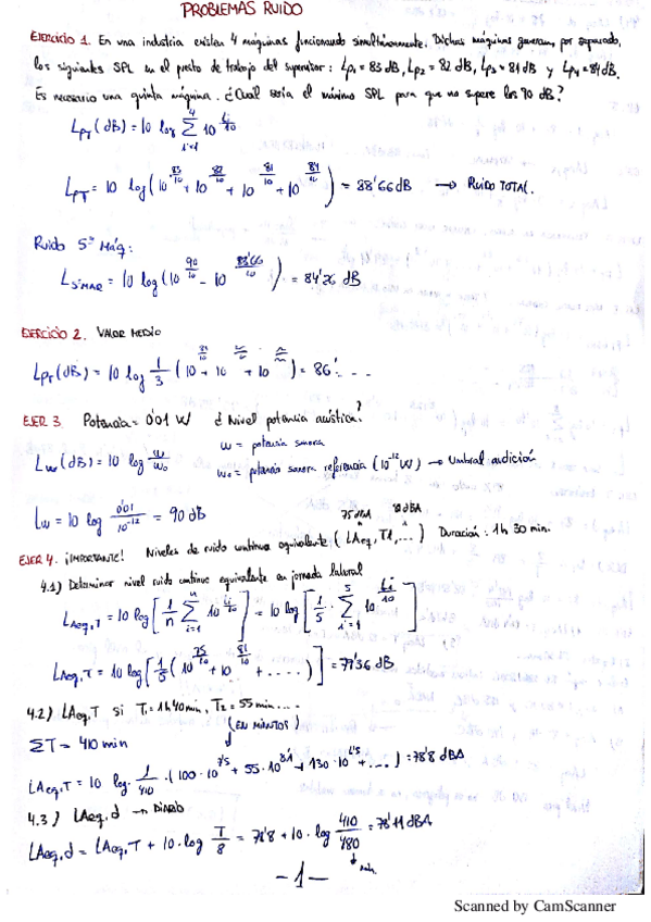
Problemas-Ruido.pdf

apuntes

-

Prácticas 2020/2021

He publicado nuevos apuntes de 3º Seguridad e Higiene en el Trabajo en el Ámbito Industrial: Prácticas 2020/2021

PRACTICA-1.pdf
Luxometro.pdf
Medidor-de-Estres-Termico.pdf
Sonometro.pdf
Analisis-de-Accidente.pdf

He publicado nuevos ejercicios de 3º Seguridad e Higiene en el Trabajo en el Ámbito Industrial: Problemas-Ruido.pdf

2 páginas

He publicado nuevos practicas de 3º Seguridad e Higiene en el Trabajo en el Ámbito Industrial: caitiseg.txt

word

He publicado nuevos practicas de 3º Seguridad e Higiene en el Trabajo en el Ámbito Industrial: PRACTICA-Luxometro.docx

word

He publicado nuevos practicas de 3º Seguridad e Higiene en el Trabajo en el Ámbito Industrial: PRACTICA-5-Sonometro.docx

word
Anónimo

@Anónimo

He publicado nuevos test de 3º Seguridad e Higiene en el Trabajo en el Ámbito Industrial: TEST-TODOS-LOS-TEMAS.pdf

34 páginas
Anónimo

@Anónimo

examenes

-

TODOS LOS TEST (TEMA 8-TEMA 13)

He publicado nuevos examenes de 3º Seguridad e Higiene en el Trabajo en el Ámbito Industrial: TODOS LOS TEST (TEMA 8-TEMA 13)

Test-tema-13.pdf
Test-Tema-11.pdf
Test-tema-10.pdf
Test-tema-9.pdf
Test-tema-12.pdf
Test-tema-8.pdf
Anónimo

@Anónimo

examenes

-

TODOS LOS TEST (TEMA 1-TEMA 7)

He publicado nuevos examenes de 3º Seguridad e Higiene en el Trabajo en el Ámbito Industrial: TODOS LOS TEST (TEMA 1-TEMA 7)

Test-tema-6.pdf
Test-tema-3.pdf
Test-tema-5.pdf
Test-tema-7.pdf
Test-tema-2.pdf
Test-tema-4.pdf

He publicado nuevos test de 3º Seguridad e Higiene en el Trabajo en el Ámbito Industrial: tests-de-todos-los-temas-SeH.pdf

24 páginas

apuntes

-

ACTIVIDADES, PRÁCTICAS Y DESARROLLO

He publicado nuevos apuntes de 3º Seguridad e Higiene en el Trabajo en el Ámbito Industrial: ACTIVIDADES, PRÁCTICAS Y DESARROLLO

Actividades-clase.pdf
Practicas.pdf
Preguntas-desarrollo.pdf

apuntes

-

AHORA SI PRACTICAS BUENAS

He publicado nuevos apuntes de 3º Seguridad e Higiene en el Trabajo en el Ámbito Industrial: AHORA SI PRACTICAS BUENAS

ANALISIS DE ACCIDENTE.pdf
ESTADISTICA DE ACCIDENTES.pdf
CAITISEG.pdf
EQUIPOS DE HIGIENE.pdf
¡Estás al día!

¡Estás al día!

Has visto todos los archivos