Semántica de la lengua inglesa I

Todo
Apuntes
Ejercicios
Prácticas
publication
Test
chevron_left
chevron_right

He publicado nuevos apuntes de 2º Semántica de la lengua inglesa I: APUNTES-SEMANTICA-I-Luis-Estudillo.pdf

11 páginas

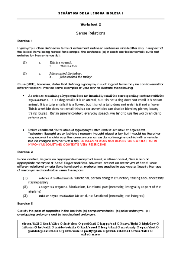
He publicado nuevos ejercicios de 2º Semántica de la lengua inglesa I: Worksheet-2-SEMANTICA-I.pdf

3 páginas
Anónimo

@Anónimo

He publicado nuevos apuntes de 2º Semántica de la lengua inglesa I: Apuntes-semantica-I.pdf

16 páginas

aquí encontrarás toda la práctica de semántica con ejercicios y las explicaciones de cómo se hacen paso a paso. también las actividades (resueltas y con más complicación) de los handouts y worksheets

26 páginas

He publicado nuevos apuntes de 3º Semántica de la lengua inglesa I: semantica-apuntes.pdf

23 páginas

He publicado nuevos apuntes de 3º Semántica de la lengua inglesa I: parte-practica-semantica-mia.pdf

27 páginas

todas las definiciones de esta asignatura

15 páginas

He publicado nuevos apuntes de 2º Semántica de la lengua inglesa I: Glossary.pdf

14 páginas

Explanation and exercises

12 páginas

Explanation and exercises

7 páginas

He publicado nuevos apuntes de 2º Semántica de la lengua inglesa I: SCHEME-MODEL-OF-THEORETICAL-SEMANTICS.pdf

2 páginas

Explanation and exercises

13 páginas

Explanation and exercises

6 páginas

Explanation and exercises

10 páginas

Vendo apuntes muy elaborados y reading tests con soluciones

He publicado nuevos apuntes de 3º Semántica de la lengua inglesa I: UNIT-2-SENSE-RELATIONS.pdf

5 páginas

He publicado nuevos ejercicios de 3º Semántica de la lengua inglesa I: Worksheet-2.pdf

4 páginas

apuntes

-

SEMANTICS INTRODUCTION AND UNIT 1

He publicado nuevos apuntes de 3º Semántica de la lengua inglesa I: SEMANTICS INTRODUCTION AND UNIT 1

SEMANTICS-INTRODUCTION.pdf
UNIT-1.-INTRODUCING-LEXICAL-SEMANTICS.pdf
UNIT-1.-READINGS--WORKSHEET.pdf

De nada queridas, así no tenéis que ir como yo a primera hora. 1kiss.

76 páginas

De nada queridas, así no tenéis que ir como yo a primera hora. 1kiss

76 páginas

De nada queridas, así no tenéis que ir como yo a primera hora. 1kiss

76 páginas

De nada queridas, así no tenéis que ir como yo a primera hora. 1kiss

76 páginas

De nada queridas, así no tenéis que ir como yo a primera hora. 1kiss

76 páginas

De nada queridas, así no tenéis que ir como yo a primera hora. 1kiss.

76 páginas

He publicado nuevos apuntes de 2º Semántica de la lengua inglesa I: APUNTES-SEMANTICA-1.pdf

58 páginas

He publicado nuevos apuntes de 2º Semántica de la lengua inglesa I: Parte-practica-semantica.pdf

33 páginas

apuntes

-

Semántica I

He publicado nuevos apuntes de 2º Semántica de la lengua inglesa I: Semántica I

Activities-Unit-4.pdf
Analysis-LF1.pdf
Classwork-semantics.pdf
Analysis-LF.pdf
SEMANTICS.-Activities-Unit-6.pdf
Unit-3-Semantics-Activities.pdf

semantica

hola no me deja ver tus apuntes

He publicado nuevos apuntes de 2º Semántica de la lengua inglesa I: SEMANTICA.pdf

20 páginas

He publicado nuevos apuntes de 2º Semántica de la lengua inglesa I: Ejercicios-de-Semantica-I--explicaciones.pdf

22 páginas

He publicado nuevos ejercicios de 2º Semántica de la lengua inglesa I: Assignment-1.pdf

3 páginas

He publicado nuevos ejercicios de 2º Semántica de la lengua inglesa I: Assignment-3.pdf

1 página

He publicado nuevos ejercicios de 2º Semántica de la lengua inglesa I: Assignment-2.pdf

3 páginas

He publicado nuevos apuntes de 2º Semántica de la lengua inglesa I: Apuntes-completos.pdf

24 páginas

apuntes

-

SEMÁNTICA CON LUIS 2023 temario control de lectura worksheet

Temario completo con ejercicios, preguntas de examen, varias preguntas con las respuestas de los controles de lectura y WORKSHEETS.

SEMANTICA-LUIS-ESTUDILLO.pdf
Exercises-on-eventualities-part-2.pdf
Exercises-on-eventualities.pdf
Exercises-on-NPI.pdf
GOMEZ-DELGADOCRISTINA-Worksheet-2.pdf
GOMEZDELGADOCRISTINA-assignment-2-handout-3analysis-and-further-issues.pdf

He publicado nuevos apuntes de 2º Semántica de la lengua inglesa I: Apuntes-Semantica-I.pdf

20 páginas

He publicado nuevos ejercicios de 2º Semántica de la lengua inglesa I: Worksheet-1-Semantics-1.pdf

2 páginas

He publicado nuevos apuntes de 3º Semántica de la lengua inglesa I: Semantica-de-la-lengua-inglesa-I.pdf

36 páginas

He publicado nuevos apuntes de 3º Semántica de la lengua inglesa I: Semantica-apuntes.pdf

29 páginas

ejercicios

-

Prácticas de Semántica

He publicado nuevos ejercicios de 3º Semántica de la lengua inglesa I: Prácticas de Semántica

Assigment-1.pdf
Worksheet-7.pdf
Worksheet-6.pdf
Worksheet-5.pdf
Tema-5-correccion.pdf
Worksheet-4.pdf

He publicado nuevos apuntes de 2º Semántica de la lengua inglesa I: Semantica-de-la-lengua-inglesa-I-1.pdf

36 páginas

He publicado nuevos apuntes de 2º Semántica de la lengua inglesa I: Apuntes-Semantica.pdf

18 páginas

apuntes

-

Semántica I Apuntes y Ejercicios

He publicado nuevos apuntes de 2º Semántica de la lengua inglesa I: Semántica I Apuntes y Ejercicios

Semantica-I-3.pdf
Semantica-I-2.pdf
Semantica-I-1.pdf

He publicado nuevos apuntes de 2º Semántica de la lengua inglesa I: SEMANTICA-I.pdf

91 páginas

apuntes

-

Apuntes y algunos assigments

He publicado nuevos apuntes de 2º Semántica de la lengua inglesa I: Apuntes y algunos assigments

Assignment-lesson-5.pdf
SEMANTICA-apuntes-variados.pdf
weekly-assignment-6.pdf

He publicado nuevos apuntes de 2º Semántica de la lengua inglesa I: apuntes--Semantica.pdf

13 páginas

He publicado nuevos apuntes de 2º Semántica de la lengua inglesa I: Apuntes-Semantica.pdf

14 páginas

TEMAS 4-7

apuntes semanticaPARTE PRACTICA

He publicado nuevos ejercicios de 2º Semántica de la lengua inglesa I: Worksheet-3-SEMANTICA-INGLESA.pdf

3 páginas

He publicado nuevos ejercicios de 2º Semántica de la lengua inglesa I: Worksheet-2-SEMANTICA-INGLESA.pdf

6 páginas

He publicado nuevos ejercicios de 2º Semántica de la lengua inglesa I: Worksheet-1-SEMANTICA-INGLESA.pdf

3 páginas

He publicado nuevos apuntes de 2º Semántica de la lengua inglesa I: TEMA-2-SENSE-RELATIONS.pdf

8 páginas

He publicado nuevos apuntes de 2º Semántica de la lengua inglesa I: Tema-1-Semantica.pdf

4 páginas

apuntes

-

Apuntes de clase

He publicado nuevos apuntes de 2º Semántica de la lengua inglesa I: Apuntes de clase

Introduccion-al-conocimiento-de-la-semantica.pdf
Tema-1.pdf

He publicado nuevos apuntes de 2º Semántica de la lengua inglesa I: Worksheet-2-1.docx

word

He publicado nuevos ejercicios de 2º Semántica de la lengua inglesa I: PropC-and-The-Semantics-of-English.pdf

2 páginas

He publicado nuevos ejercicios de 2º Semántica de la lengua inglesa I: Predicate-Calculus.pdf

1 página

He publicado nuevos ejercicios de 2º Semántica de la lengua inglesa I: EXERCISES-PREDICATE-CALCULUS-RELATIONAL-PREDICATES-AND-QUANTIFIERS.pdf

2 páginas

He publicado nuevos practicas de 2º Semántica de la lengua inglesa I: Worksheet-1.docx

word
Anónimo

@Anónimo

asignatura aprobada con buena nota

16 páginas