Semántica Inglesa

chevron_left
chevron_right
Todo
Apuntes
Exámenes
Otros
chevron_left
chevron_right

He publicado nuevos apuntes de 4º Semántica Inglesa: English-Semantics-FULL-notes--exercises.pdf

71 páginas

Apuntes finales de semántica inglesa. Con ellos he sacado un 8,2 a falta de estudiarlos en profundidad.

12 páginas

APUNTES COMPLETOS ENGLISH SEMANTICS 2025/26

60 páginas
Anónimo

@Anónimo

Apuntes completos de semántica para el curso 25-26. Con referencias pero sin bibliografía.

24 páginas

todas las unidades + ejemplos

66 páginas
Anónimo

@Anónimo

He publicado nuevos apuntes de 4º Semántica Inglesa: Examclass-notes-semantics.pdf

24 páginas
Anónimo

@Anónimo

He publicado nuevos apuntes de 4º Semántica Inglesa: English-Semantics.pdf

16 páginas
Anónimo

@Anónimo

He publicado nuevos otros de 4º Semántica Inglesa: COGNITIVE-SEMANTICS.png

Imagen
Anónimo

@Anónimo

He publicado nuevos apuntes de 4º Semántica Inglesa: SEMANTICS.pdf

31 páginas
Anónimo

@Anónimo

apuntes finales de toda la asignatura de semantica

word

Apuntes completos de semántica (2024) con esquemas y prácticas

49 páginas
Anónimo

@Anónimo

He publicado nuevos apuntes de 4º Semántica Inglesa: Apuntes-todos-los-temas.pdf

15 páginas

He publicado nuevos examenes de 4º Semántica Inglesa: Semantica-20232024.pdf

53 páginas

He publicado nuevos apuntes de 4º Semántica Inglesa: MODULE-2.docx

word

He publicado nuevos apuntes de 4º Semántica Inglesa: MODULE-1.docx

word

He publicado nuevos examenes de 4º Semántica Inglesa: MIDTERM-SEMANTICA-2023.docx

word

He publicado nuevos apuntes de 4º Semántica Inglesa: Apuntes-Module-1-20232024.pdf

30 páginas

He publicado nuevos apuntes de 4º Semántica Inglesa: semantica-completo.pdf

14 páginas

He publicado nuevos apuntes de 4º Semántica Inglesa: unit-6.pdf

1 página

He publicado nuevos apuntes de 4º Semántica Inglesa: unit-5.pdf

1 página

He publicado nuevos apuntes de 4º Semántica Inglesa: unit-4.pdf

1 página

He publicado nuevos apuntes de 4º Semántica Inglesa: unit-3.pdf

2 páginas

He publicado nuevos apuntes de 4º Semántica Inglesa: unit-1.pdf

2 páginas

He publicado nuevos apuntes de 4º Semántica Inglesa: unit-2.pdf

1 página

apuntes

-

MÓDULOS SEMÁNTICA (completos)

Apuntes completos de la asignatura (módulos 1 y 2) con ejemplos y prácticas hechas en clase✌

MODULO-1-SEMANTICA.pdf
MODULO-2-SEMANTICA.pdf
Anónimo

@Anónimo

He publicado nuevos apuntes de 4º Semántica Inglesa: Semantica-Parte-1.pdf

51 páginas

He publicado nuevos apuntes de 4º Semántica Inglesa: SEMANTICA-INGLESA.pdf

26 páginas

He publicado nuevos apuntes de 4º Semántica Inglesa: semantics-notes.pdf

48 páginas

He publicado nuevos apuntes de 4º Semántica Inglesa: tema-3.pdf

6 páginas

He publicado nuevos apuntes de 4º Semántica Inglesa: tema-2.pdf

2 páginas

He publicado nuevos apuntes de 4º Semántica Inglesa: introduccion.pdf

3 páginas

He publicado nuevos apuntes de 4º Semántica Inglesa: tema-1.pdf

6 páginas

He publicado nuevos apuntes de 4º Semántica Inglesa: Notes-Semantics.docx

word
Anónimo

@Anónimo

He publicado nuevos apuntes de 4º Semántica Inglesa: Topic 1.pdf

1 página
Anónimo

@Anónimo

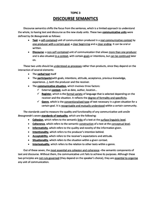
He publicado nuevos apuntes de 4º Semántica Inglesa: Topic 3.pdf

3 páginas
Anónimo

@Anónimo

He publicado nuevos apuntes de 4º Semántica Inglesa: Topic 2.pdf

2 páginas
¡Estás al día!

¡Estás al día!

Has visto todos los archivos