chevron_left
chevron_right
Todo
Apuntes
Ejercicios
Exámenes
Prácticas
Test
Trabajos
chevron_left
chevron_right
Anónimo

@Anónimo

He publicado nuevos apuntes de 2º Señales Aleatorias: Ejercicios-propuestos-2025-2026.pdf

17 páginas

ESQUEMA RUIDO BLANCO, RUIDO BLANCO ESTRICTO, RUIDO GAUSSIANO, ESTACIONARIDAD (DEFINICION, TIPOS Y PROPIEDADES)

2 páginas

apuntes

-

APUNTES SALT T3/T4 PARA APROBAR EL GLOBAL

He publicado nuevos apuntes de 2º Señales Aleatorias: APUNTES SALT T3/T4 PARA APROBAR EL GLOBAL

TEMA-3.pdf
TEMA-4.pdf
SIST.-LINEALES.pdf

examenes

-

PROBLEMAS EXAMEN

He publicado nuevos examenes de 2º Señales Aleatorias: PROBLEMAS EXAMEN

EJERCICIOSEXAMENVARIABLEALEATORIA.pdf
EJERCICIOSEXAMENPROCESOSESTOCASTICOS.pdf

SOLUCIONES EJERCICIOS PROCESOS ESTOCÁSTICOS DE LA HOJA DE PROBLEMAS 25-26, PARA APROBAR EXAMEN FINAL

17 páginas

He publicado nuevos apuntes de 2º Señales Aleatorias: chuletaSALT.pdf

3 páginas

He publicado nuevos apuntes de 2º Señales Aleatorias: resumenPt2.pdf

2 páginas

He publicado nuevos apuntes de 2º Señales Aleatorias: Apuntes-1oparcial.pdf

4 páginas

He publicado nuevos apuntes de 2º Señales Aleatorias: SALT-Apuntes.pdf

10 páginas

apuntes

-

SALT APUNTES/EJS PARA APROBAR EL PARCIAL

He publicado nuevos apuntes de 2º Señales Aleatorias: SALT APUNTES/EJS PARA APROBAR EL PARCIAL

ApuntesTema1.pdf
Tema2.pdf
ejemplosdiapositivasT2.pdf
Anónimo

@Anónimo

He publicado nuevos test de 2º Señales Aleatorias: Ejemplo-test-solucion.pdf

4 páginas

apuntes

-

SALT

He publicado nuevos apuntes de 2º Señales Aleatorias: SALT

SALT-Tema-1.pdf
Tipos de variable aleatoria.pdf.pdf

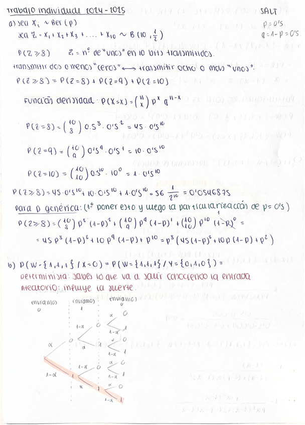
He publicado nuevos trabajos de 2º Señales Aleatorias: Trabajo-individual-2024-2025.pdf

4 páginas

He publicado nuevos apuntes de 2º Señales Aleatorias: Tema-3.pdf

2 páginas

He publicado nuevos apuntes de 2º Señales Aleatorias: Tema-1.pdf

1 página

Ejercicios sobre el Tema 1

6 páginas

Enunciado del examen de enero 2025 en ingles

2 páginas

examenes

-

Examenes Parcial 1

Ejercicios de examen sobre el primer parcial de SALT

Examen-enero-2012-Ejercicio-1.pdf
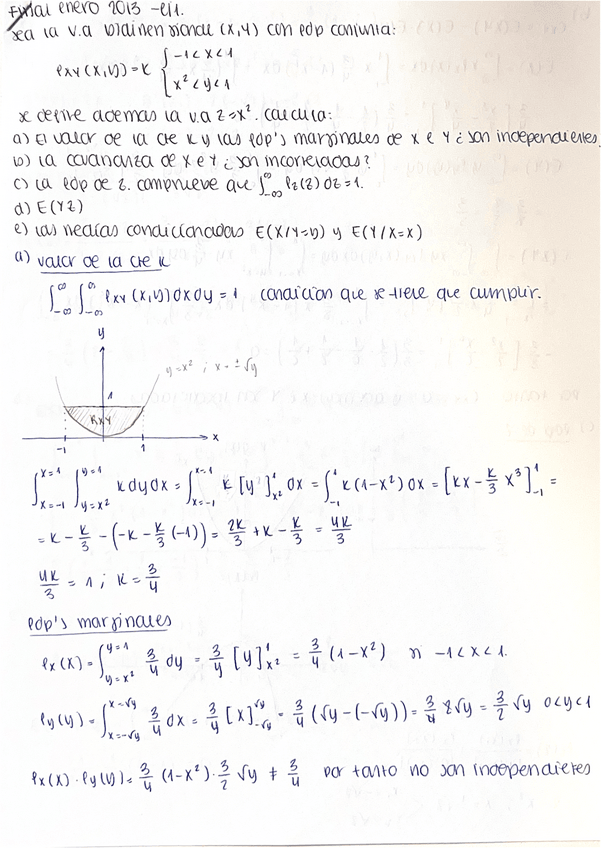
Examen-enero-2013-Ejercicio-1.pdf
Examen-Enero-2022-Ejercicio-1.pdf
Examen-Enero-2023-Ejercicio-1.pdf
Examen-Julio-2023-Ejercicio-1.pdf
Examen-Julio-2024-Ejercicio-1.pdf
Anónimo

@Anónimo

Apuntes y ejercicios de clase

9 páginas

todo lo que necesitas saber para el examen (podría tener mejor presentación pero es todo el contenido)

2 páginas

apuntes

-

Apuntes Teoría SALT

He publicado nuevos apuntes de 2º Señales Aleatorias: Apuntes Teoría SALT

Apuntes-Teoria-SALT-Tema-1.pdf

He publicado nuevos examenes de 2º Señales Aleatorias: Examenes-Resueltos-2o-Parcial-SALT.pdf

9 páginas

Apuntes clase

5 páginas

He publicado nuevos examenes de 2º Señales Aleatorias: EXÁMENES SALT-2024-2021.pdf

17 páginas

examenes

-

Examenes T4 SALT

He publicado nuevos examenes de 2º Señales Aleatorias: Examenes T4 SALT

EXAMENES-TEMA-4-SALT-P1.pdf
EXAMENES-TEMA-4-SALT-P2.pdf

Ejercicios básicos y de trabajos individuales anteriores

6 páginas

examenes

-

Examenes T3 SALT

He publicado nuevos examenes de 2º Señales Aleatorias: Examenes T3 SALT

EXAMENES-TEMA-3-SALT-P1.pdf
EXAMENES-TEMA-3-SALT-P2.pdf
EXAMENES-TEMA-3-SALT-P3.pdf
EXAMENES-TEMA-3-SALT-P4.pdf
EXAMEN-TEMA-3-ONLINE-JUNIO-2020-SALT.pdf

examenes

-

Examenes T2 SALT

He publicado nuevos examenes de 2º Señales Aleatorias: Examenes T2 SALT

EXAMENES-TEMAS-12-ONLINE-SALT.pdf
EXAMENES-TEMA-2-SALT.pdf

apuntes

-

Teoria SALT

He publicado nuevos apuntes de 2º Señales Aleatorias: Teoria SALT

RESUMEN-TEORIA-TEMA-2-SALT.pdf
RESUMEN-TEORIA-TEMA-3-SALT.pdf
MINIVIDEOS-1-PARCIAL.pdf
MINIVIDEOS-2-PARCIAL.pdf

He publicado nuevos apuntes de 2º Señales Aleatorias: RESUMEN-TEORIA-TEMA-1-SALT.pdf

3 páginas

apuntes

-

SALT - Por temas

He publicado nuevos apuntes de 2º Señales Aleatorias: SALT - Por temas

SALT-T2.pdf
SALT-T4.pdf
SALT-T3.pdf
SALT-T1.pdf
Anónimo

@Anónimo

He publicado nuevos apuntes de 2º Señales Aleatorias: Esquema-SALT-Parcial-2.pdf

2 páginas

apuntes

-

APUNTES RESUMIDOS

He publicado nuevos apuntes de 2º Señales Aleatorias: APUNTES RESUMIDOS

T1-PARCIAL-SALT.pdf
T2-PARCIAL-SALT.pdf
T3-PARCIAL-SALT.pdf
T4-FINAL-SALT.pdf
Anónimo

@Anónimo

He publicado nuevos apuntes de 2º Señales Aleatorias: Temas-1-y-2SALT.pdf

3 páginas
Anónimo

@Anónimo

He publicado nuevos apuntes de 2º Señales Aleatorias: Temas-3-y-4SALT.pdf

4 páginas

apuntes

-

Salt teoria

He publicado nuevos apuntes de 2º Señales Aleatorias: Salt teoria

Tema-3.pdf
Tema-4.pdf
Tema-2.pdf
Tema-1.pdf

examenes

-

Exámenes SALT

He publicado nuevos examenes de 2º Señales Aleatorias: Exámenes SALT

finales-SALT-enejun.pdf
parciales-SALT-novoct.pdf

He publicado nuevos apuntes de 2º Señales Aleatorias: Apuntes-de-ejercicios.pdf

3 páginas

He publicado nuevos apuntes de 2º Señales Aleatorias: RESUMENTEORIA.pdf

7 páginas
Anónimo

@Anónimo

He publicado nuevos apuntes de 2º Señales Aleatorias: Resumen-SALT-Teoria-completa.pdf

9 páginas

He publicado nuevos apuntes de 2º Señales Aleatorias: RESUMENES-SALT.pdf

2 páginas

He publicado nuevos test de 2º Señales Aleatorias: Test-SALT-resuelto.pdf

4 páginas

He publicado nuevos apuntes de 2º Señales Aleatorias: Carpeta-completa-SALT-Montero-Espinosa.pdf

258 páginas

He publicado nuevos apuntes de 2º Señales Aleatorias: Resumen-de-SALT.pdf

1 página

apuntes

-

Resumen salt

He publicado nuevos apuntes de 2º Señales Aleatorias: Resumen salt

Resumen-salt-p2.pdf
Resumen-SALT-p3.pdf
Resumen-SALT-pt1.pdf

He publicado nuevos apuntes de 2º Señales Aleatorias: Exampletest88be9e71488c70d14ad72b1f3949cd6c.pdf

3 páginas

He publicado nuevos apuntes de 2º Señales Aleatorias: Exercises22-231b6e323a62b051c6bfe2a4cfcd0ab09a.pdf

5 páginas

He publicado nuevos apuntes de 2º Señales Aleatorias: Teoria-SALT-completa.pdf

5 páginas
Anónimo

@Anónimo

apuntes

-

Teoría y ejercicios SALT

He publicado nuevos apuntes de 2º Señales Aleatorias: Teoría y ejercicios SALT

Tema-1-y-2.pdf

He publicado nuevos ejercicios de 2º Señales Aleatorias: EjerciciosSALT.pdf

18 páginas

He publicado nuevos apuntes de 2º Señales Aleatorias: ResumenSALT.pdf

7 páginas

He publicado nuevos apuntes de 2º Señales Aleatorias: Resumen-teoria.pdf

6 páginas

He publicado nuevos trabajos de 2º Señales Aleatorias: Trabajo-Individual-SALT.pdf

4 páginas

He publicado nuevos apuntes de 2º Señales Aleatorias: Apuntes-salt-completos.pdf

18 páginas

examenes

-

ExámenesResueltos SALT

2022 y 2021

ExamenesP2SALT.pdf
ExamenesP1SALT.pdf

apuntes

-

Teoría por temas

He publicado nuevos apuntes de 2º Señales Aleatorias: Teoría por temas

Tema-1-Teoria-de-la-probabilidad.pdf
Tema-2-Variable-aleatoria-unidimensional.pdf
Tema-3-Variable-aleatoria-multidimensional.pdf
Tema-4-Procesos-estocasticos-y-secuencias-aleatorias.pdf

He publicado nuevos examenes de 2º Señales Aleatorias: resoluciontestmoodle.pdf

4 páginas

He publicado nuevos test de 2º Señales Aleatorias: test-salt-SOLUCION.pdf

3 páginas

He publicado nuevos apuntes de 2º Señales Aleatorias: Final-SALT-macroresumen.pdf

1 página

He publicado nuevos apuntes de 2º Señales Aleatorias: Ejercicio-2-FINAL-SALT-ejemplo.pdf

1 página