Todo
Apuntes
Exámenes
publication
chevron_left
chevron_right

examenes

-

EXAMENES RESUELTOS (aviso: puede ser que haya errores)

He publicado nuevos examenes de 3º Señales y Sistemas: EXAMENES RESUELTOS (aviso: puede ser que haya errores)

2011-enero.pdf
2018-junio.pdf
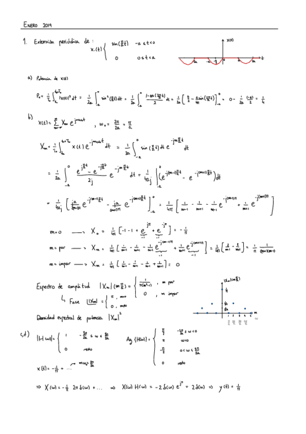
2019-enero.pdf
2019-junio.pdf
2020-enero.pdf
2022-enero.pdf

Apuntes castellano 2024

Miniatura no disponible
https://wuolah.com/apuntes/senales-y-sistemas/apuntes-castellano-2024-t-1-introduccion-pdf-pdf-10937396?referral=teroque6

He publicado nuevos examenes de 3º Señales y Sistemas: Examenes-Resueltos-SeSi.pdf

12 páginas

He publicado nuevos apuntes de 3º Señales y Sistemas: Senales-y-Sistemas.pdf

36 páginas

He publicado nuevos apuntes de 3º Señales y Sistemas: escaneo7977752020-09-10-12-15-50.pdf

6 páginas
¡Estás al día!

¡Estás al día!

Has visto todos los archivos