Todo
Apuntes
Preguntas
Ejercicios
Exámenes
Otros
Prácticas
publication
chevron_left
chevron_right

examenes

-

EXAMENES CONVO RESUELTOS

He publicado nuevos examenes de 2º Señales y Sistemas: EXAMENES CONVO RESUELTOS

1o-CONVO-2011-RESUELTA.pdf
2o-CONVO-2012-RESUELTA.pdf
2o-CONVO-2013-RESUELTA.pdf
2o-CONVO-2017.pdf
3o-CONVO-2010-RESUELTA.pdf

examenes

-

EXAMENES PARCIALES RESUELTOS

He publicado nuevos examenes de 2º Señales y Sistemas: EXAMENES PARCIALES RESUELTOS

1o-PARCIAL-2011-RUBEN-RESUELTO.pdf
1o-PARCIAL-2018-IRENE.pdf
1o-PARCIAL-2018-RUBEN.pdf
1o-PARCIAL-2019-IRENE.pdf
2o-PARCIAL-2016-IRENE.pdf
2o-PARCIAL-2022-RUBEN.pdf

ejercicios

-

BOLETINES RESUELTOS

He publicado nuevos ejercicios de 2º Señales y Sistemas: BOLETINES RESUELTOS

BOLETIN-1.pdf
BOLETIN-2.pdf
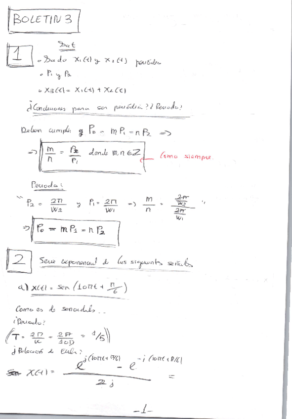
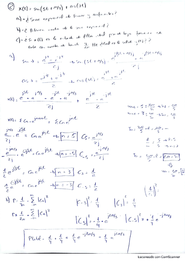
BOLETIN-3.pdf

apuntes

-

TEMAS RESUMIDOS 2024

He publicado nuevos apuntes de 2º Señales y Sistemas: TEMAS RESUMIDOS 2024

T1-SENALES-Y-SISTEMAS.pdf
T2-SISTEMAS-LINEALES-E-INVARIANTES-EN-EL-TIEMPO.pdf
T3-SERIES-DE-FOURIER.pdf
T4-TRANSFORMADAS-DE-FOURIER.pdf
T5-LA-CORRELACION.pdf
T6-MUESTREO.pdf

He publicado nuevos apuntes de 2º Señales y Sistemas: Resumen-tema-3-Parcial-1.pdf

3 páginas

He publicado nuevos apuntes de 2º Señales y Sistemas: Resumen-tema-2.pdf

6 páginas

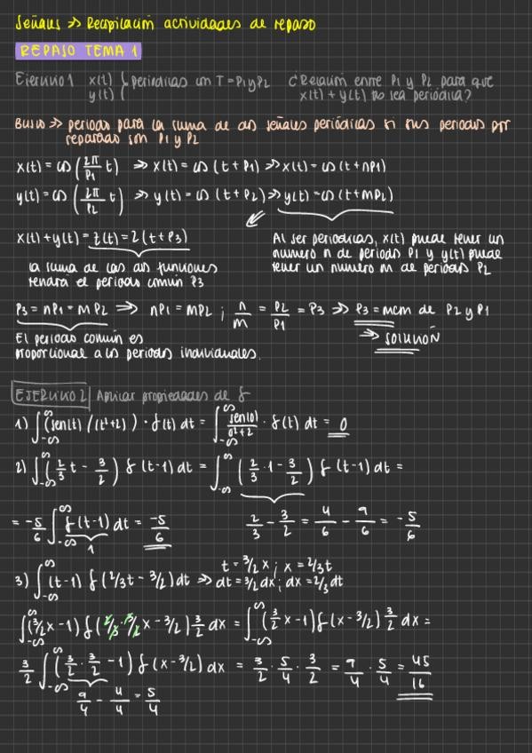
He publicado nuevos apuntes de 2º Señales y Sistemas: Resumen-tema-1.pdf

4 páginas

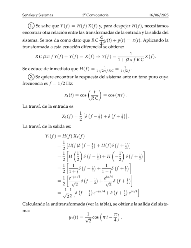
He publicado nuevos examenes de 2º Señales y Sistemas: Examen-2a-Convo-2425-Resuelto.pdf

4 páginas

He publicado nuevos examenes de 2º Señales y Sistemas: Examen-Resuelto-Preparacion-2o-Parcial-2425.pdf

2 páginas

He publicado nuevos examenes de 2º Señales y Sistemas: Examen-Resuelto-Preparacion-1er-Parcial-2425.pdf

3 páginas
Anónimo

@Anónimo

He publicado nuevos apuntes de 2º Señales y Sistemas: 3a-convo-senales-2024.pdf

2 páginas

He publicado nuevos otros de 2º Señales y Sistemas: ESTADISTICAS 1Convo 24-25.pdf

1 página

He publicado nuevos apuntes de 2º Señales y Sistemas: IMPORTANTE-SENALES.pdf

9 páginas

He publicado nuevos examenes de 2º Señales y Sistemas: 2o-Parcial-24-25-Resuelto.pdf

4 páginas

examenes

-

EXÁMENES RESUELTOS Parciales 2010-2024

He publicado nuevos examenes de 2º Señales y Sistemas: EXÁMENES RESUELTOS Parciales 2010-2024

10-11 1p Rubén.pdf
15-16 2p Irene.pdf
17-18 1p Irene.pdf
17-18 1p Rubén.pdf
18-19 1p Irene.pdf
21-22 2p Rubén.pdf

He publicado nuevos examenes de 2º Señales y Sistemas: 24-25 1Parcial.pdf

1 página

He publicado nuevos examenes de 2º Señales y Sistemas: 24-25 1Parcial resuelto PROFESOR.pdf

8 páginas

He publicado nuevos ejercicios de 2º Señales y Sistemas: Boletin-4.pdf

9 páginas

He publicado nuevos examenes de 2º Señales y Sistemas: 1er-Parcial-24-25-Resuelto.pdf

4 páginas

examenes

-

EXÁMENES RESUELTOS Convocatorias 2007-2024

He publicado nuevos examenes de 2º Señales y Sistemas: EXÁMENES RESUELTOS Convocatorias 2007-2024

07-08 3convo.pdf
08-09 1convo.pdf
08-09 2convo.pdf
09-10 1convo.pdf
09-10 3convo.pdf
10-11 1convo.pdf

He publicado nuevos examenes de 2º Señales y Sistemas: 24-25 2Parcial.pdf

Miniatura no disponible
3 páginas

apuntes

-

SEGUNDO PARCIAL TEORÍA Y EJERCICIOS RESUELTOS

He publicado nuevos apuntes de 2º Señales y Sistemas: SEGUNDO PARCIAL TEORÍA Y EJERCICIOS RESUELTOS

TEMA-6.-Correlacion-y-densidad-espectral.pdf
TEMA-7.-Conceptos-basicos-de-muestreo.pdf
TEMA-8.-Senales-y-sistemas-discretos.pdf
TEMA-9.-Fourier-en-discreta.pdf

apuntes

-

PRIMER PARCIAL TEORÍA Y EJERCICIOS RESUELTOS

He publicado nuevos apuntes de 2º Señales y Sistemas: PRIMER PARCIAL TEORÍA Y EJERCICIOS RESUELTOS

TEMA-1.-Senales-y-sistemas-continuos.pdf
TEMA-2.-Sistemas-LTI.pdf
TEMA-3.-Series-de-Fourier.pdf
TEMA-4.-Transformada-de-Fourier.pdf
TEMA-5.-Respuesta-en-frecuencia.-Sistemas-LTI.pdf

apuntes

-

Apuntes

He publicado nuevos apuntes de 2º Señales y Sistemas: Apuntes

Tema-1-Senales-Y-Sistemas-Continuos.pdf
Tema-2-Sistemas-Lineales-e-Invariantes-en-el-Tiempo.pdf
Tema-6-Correlacion-Y-Densidad-Espectral.pdf
Tema-8-Senales-Y-Sistemas-Discretos.pdf
Tema-7-Conceptos-Basicos-De-Muestreo.pdf
Tema-4-Transformada-De-Fourier.pdf
Anónimo

@Anónimo

He publicado nuevos apuntes de 2º Señales y Sistemas: 1-PARCIAL-SENALES.pdf

4 páginas

apuntes

-

Teoria Señales y Sistemas

He publicado nuevos apuntes de 2º Señales y Sistemas: Teoria Señales y Sistemas

Tema-1-SENALES.pdf
Tema-2-SISTEMAS.pdf
tema-3.pdf

apuntes

-

ejercicios

He publicado nuevos apuntes de 2º Señales y Sistemas: ejercicios

Boletin-2.pdf
Boletin-3.pdf

He publicado nuevos examenes de 2º Señales y Sistemas: 3Convo24-25.pdf

4 páginas

He publicado nuevos ejercicios de 2º Señales y Sistemas: Boletin-2-Resuelto.pdf

3 páginas

He publicado nuevos apuntes de 2º Señales y Sistemas: Tema-2-Apuntes-de-Clase-Ejemplos-Hechos.pdf

1 página

He publicado nuevos apuntes de 2º Señales y Sistemas: Tema1-Apuntes-clase-Ejemplos-Hechos.pdf

1 página

He publicado nuevos examenes de 2º Señales y Sistemas: Enunciado-1o-Parcial-2324.pdf

Miniatura no disponible
pdf

He publicado nuevos examenes de 2º Señales y Sistemas: EXAMENES-222324.pdf

28 páginas

He publicado nuevos apuntes de 2º Señales y Sistemas: RESUMEN-asignatura.pdf

4 páginas

He publicado nuevos examenes de 2º Señales y Sistemas: ENUNCIADO-3-CONVO-2425.pdf

1 página

ejercicios

-

BOLETINES resueltos

He publicado nuevos ejercicios de 2º Señales y Sistemas: BOLETINES resueltos

boletin-1.pdf
boletin-2.pdf

apuntes

-

Diapositivas con anotaciones de clase

He publicado nuevos apuntes de 2º Señales y Sistemas: Diapositivas con anotaciones de clase

T2-2.pdf
T1-1.pdf
T2-1.pdf

He publicado nuevos examenes de 2º Señales y Sistemas: 3o-Convo-2024-Resuelto.pdf

4 páginas

He publicado nuevos apuntes de 2º Señales y Sistemas: Apuntes-de-clase-T1.pdf

8 páginas

He publicado nuevos otros de 2º Señales y Sistemas: ESTADISTICAS 2Convo 23-24.pdf

1 página

He publicado nuevos examenes de 2º Señales y Sistemas: 23-24 2Convo.pdf

2 páginas

apuntes

-

resumen parte 1 y 2

He publicado nuevos apuntes de 2º Señales y Sistemas: resumen parte 1 y 2

Resumen-Senales-parte-2.pdf
Resumen-Senales-parte-1.pdf

He publicado nuevos otros de 2º Señales y Sistemas: ESTADISTICAS 1Convo 23-24.pdf

1 página

He publicado nuevos apuntes de 2º Señales y Sistemas: Apuntes-senales-clase-2324.pdf

76 páginas

He publicado nuevos examenes de 2º Señales y Sistemas: Enunciado-1a-Convo-Enero-2024.pdf

2 páginas
Anónimo

@Anónimo

He publicado nuevos examenes de 2º Señales y Sistemas: EXAMEN-1o-CONVOCATORIA-2022.pdf

4 páginas
Anónimo

@Anónimo

He publicado nuevos examenes de 2º Señales y Sistemas: Examen-1-12-2014.pdf

6 páginas
Anónimo

@Anónimo

He publicado nuevos examenes de 2º Señales y Sistemas: Examen-1oparcial-23-24-resuelto.pdf

7 páginas

apuntes

-

Apuntes señales

He publicado nuevos apuntes de 2º Señales y Sistemas: Apuntes señales

tema-2-1.pdf
tema-2-2 .pdf
tema-2-3.pdf
Tema-1.pdf
Tema-3-1.pdf
Tema-3-2.pdf
Anónimo

@Anónimo

He publicado nuevos examenes de 2º Señales y Sistemas: Examen-1o-parcial-22-23-solucionado.pdf

7 páginas

ejercicios

-

BOLETINES de clase

He publicado nuevos ejercicios de 2º Señales y Sistemas: BOLETINES de clase

Boletín 1.pdf
Boletín 2.pdf
Boletín 3.pdf

ejercicios

-

EJERCICIOS tipo EXAMEN

He publicado nuevos ejercicios de 2º Señales y Sistemas: EJERCICIOS tipo EXAMEN

Sumas de Convolución.pdf
Ejercicios 2P.pdf
Ejercicios 1P.pdf

apuntes

-

TEMARIO COMPLETO - Señales y Sistemas

He publicado nuevos apuntes de 2º Señales y Sistemas: TEMARIO COMPLETO - Señales y Sistemas

Tema 1. Señales.pdf
Tema 2. Sistemas.pdf
Tema 3. Fourier.pdf
Tema 4. Discretos.pdf

He publicado nuevos apuntes de 2º Señales y Sistemas: Formulario 2Parcial.pdf

4 páginas

He publicado nuevos apuntes de 2º Señales y Sistemas: Formulario 1Parcial.pdf

4 páginas

He publicado nuevos otros de 2º Señales y Sistemas: ESTADISTICAS 2Parcial 23-24.pdf

1 página

apuntes

-

Apuntes Rubén comentados

He publicado nuevos apuntes de 2º Señales y Sistemas: Apuntes Rubén comentados

Tema-4-I.pdf
Tema-3-II.pdf
T2-3.pdf
Tema-4-II.pdf
T2-1.pdf
Tema-3-III.pdf

apuntes

-

Señales y sistemas apuntes

He publicado nuevos apuntes de 2º Señales y Sistemas: Señales y sistemas apuntes

senales-y-sistemas-tema-1.pdf
senales-y-sistemas-tema-2.pdf
senales-y-sistemas-tema-3.pdf
senales-y-sistemas-tema-4.pdf
senales-y-sistemas-tema-5.pdf
senales-y-sistemas-tema-6.pdf

He publicado nuevos otros de 2º Señales y Sistemas: ESTADISTICAS 1Parcial 23-24.pdf

1 página
Anónimo

@Anónimo

Ejercicios de examen RESUELTOS

11 páginas