chevron_left
chevron_right
Todo
Apuntes
chevron_left
chevron_right
Anónimo

@Anónimo

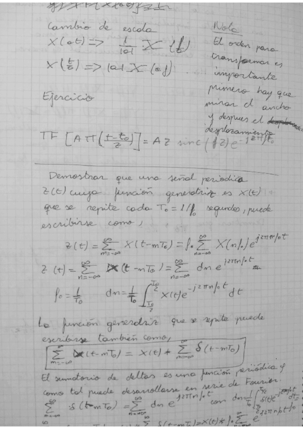
He publicado nuevos apuntes de 3º Señales y Sistemas: señales[1].pdf

29 páginas
¡Estás al día!

¡Estás al día!

Has visto todos los archivos