chevron_left
chevron_right
Todo
Apuntes
Ejercicios
Exámenes
Otros
publication
chevron_left
chevron_right

apuntes

-

Señales y Sistemas

He publicado nuevos apuntes de 2º Señales y Sistemas: Señales y Sistemas

EJERCICIOS EXAMEN FOURIER CONTINUO.pdf
RESUMEN.pdf
EJERCICIOS EXAMEN FOURIER DISCRETO.pdf
EJERICICIOS-EXAMEN-TRANSFORMADA-Z.pdf
EJERCICIOS EXAMEN LAPLACE.pdf

otros

-

Señales y Sistemas

He publicado nuevos otros de 2º Señales y Sistemas: Señales y Sistemas

P7.pdf
P1.pdf
P2.pdf
P5.pdf
P6.pdf
P4.pdf

examenes

-

Señales y Sistemas

He publicado nuevos examenes de 2º Señales y Sistemas: Señales y Sistemas

R-PEI-1-24-25.pdf
PEI2-24-25.pdf
PEI-1-24-25.pdf

ejercicios

-

Señales y Sistemas

He publicado nuevos ejercicios de 2º Señales y Sistemas: Señales y Sistemas

Tema-4-Senales-problemas.pdf
Tema-5-Senales-problemas.pdf
Tema-1-Senales-problemas.pdf
Tema-2-Senales-problemas.pdf
Tema-3-Senales-problemas.pdf
Tema-6-Senales-problemas.pdf

apuntes

-

Señales y Sistemas

He publicado nuevos apuntes de 2º Señales y Sistemas: Señales y Sistemas

Tema-3-Senales.pdf
Tema-2-Senales.pdf
Repaso-temas-1-2-3-5.pdf
Tema-4-Senales.pdf
Tema-5-Senales.pdf
Tema-6-Senales.pdf

He publicado nuevos apuntes de 2º Señales y Sistemas: PEI1SSNov2024.pdf

4 páginas
Anónimo

@Anónimo

PEI 1 2023/2024

3 páginas

Ejercicios explicados y resueltos

11 páginas

Ejercicios explicados y resueltos

17 páginas

Ejercicios explicados y resueltos

11 páginas
Anónimo

@Anónimo

He publicado nuevos examenes de 2º Señales y Sistemas: sys09enero23pei2R.pdf

3 páginas
Anónimo

@Anónimo

He publicado nuevos examenes de 2º Señales y Sistemas: sys09enero23pei1rR.pdf

2 páginas

He publicado nuevos apuntes de 2º Señales y Sistemas: Senales-y-Sistemas-1Parcial.pdf

33 páginas

apuntes

-

Problemas Resueltos

He publicado nuevos apuntes de 2º Señales y Sistemas: Problemas Resueltos

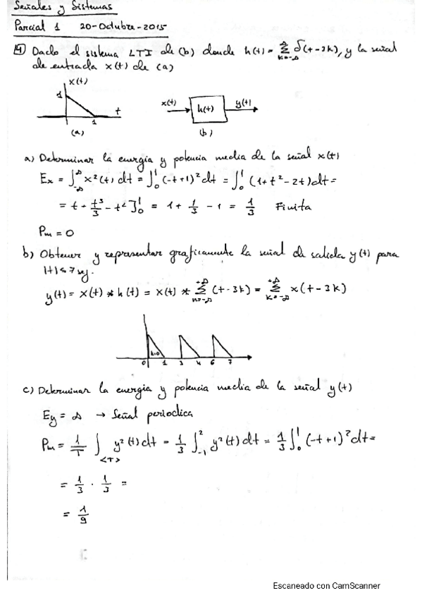
1er-Parcial-14-11-2020.pdf
Problemas-Tema-2.pdf
Test.pdf
Extraordinario-20-06-2019.pdf
Problemas-Tema-4.pdf
Problemas-Tema-6.pdf
Anónimo

@Anónimo

examenes

-

Exámenes

He publicado nuevos examenes de 2º Señales y Sistemas: Exámenes

Control12014-15.pdf
Control210D15.pdf
Control12013-14.pdf
Control22014-15.pdf
Control20O15.pdf
ExamenDEFJUNIO1617.pdf

apuntes

-

TEORIA TEMA 1-SEÑALES Y SISTEMAS (2021)

He publicado nuevos apuntes de 2º Señales y Sistemas: TEORIA TEMA 1-SEÑALES Y SISTEMAS (2021)

Tema1Senales.pdf
Tema1Sistemas.pdf

He publicado nuevos ejercicios de 2º Señales y Sistemas: ejss2020-21T5-6.pdf

6 páginas

RECUPERACION 27/06/17 Señales y sistemas

Hola! Alguien tiene la solucion de ese examen??

He publicado nuevos ejercicios de 2º Señales y Sistemas: ejss2020-21T1-4.pdf

16 páginas

He publicado nuevos examenes de 2º Señales y Sistemas: PEI1SS2019-20sol.pdf

4 páginas

He publicado nuevos apuntes de 2º Señales y Sistemas: Resumen-SS.pdf

8 páginas

He publicado nuevos apuntes de 2º Señales y Sistemas: PEI2018-19SOL.pdf

2 páginas

examenes

-

Muchos Más Exámenes

Buscar bien porque hay de un montón de años!

Diciembre2011Tarde.pdf
Diciembre2011Manana.pdf
Diciembre20121Sol.pdf
Diciembre20122.pdf
Diciembre2014.pdf
Diciembre2015.pdf

examenes

-

Exámenes Resueltos

He publicado nuevos examenes de 2º Señales y Sistemas: Exámenes Resueltos

Ex8sol2015.pdf
Ex2sol2015.pdf
22-Diciembre-2011.pdf
19-de-enero-2015.pdf
18-Enero-2012.pdf
11-junio-2013.pdf

apuntes

-

Soluciones Libro Oppenheim

Hay separación por temas, pero en algunos casos puede haber solape, es decir que el principio del tema se encuentre en el archivo del tema anterior.

Tema8.pdf
Tema9.pdf
Tema6.pdf
Tema1.pdf
Tema4.pdf
Tema2.pdf

ejercicios

-

Problemas con Solución

He publicado nuevos ejercicios de 2º Señales y Sistemas: Problemas con Solución

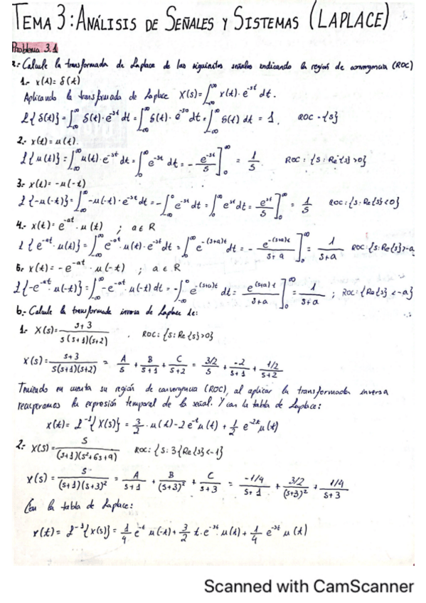
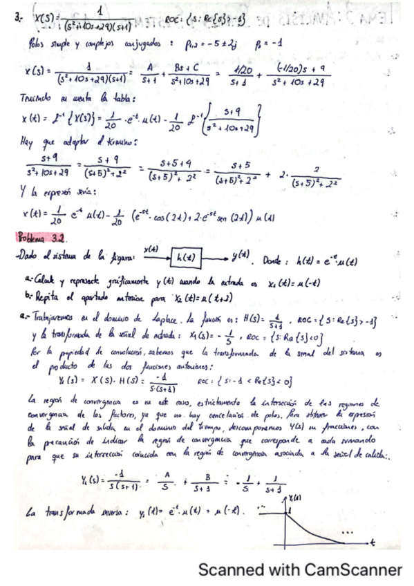
ProbTema3A.pdf
ProbTema3B.pdf
ProbTema4.pdf

He publicado nuevos examenes de 2º Señales y Sistemas: PEI 2017.pdf

4 páginas
¡Estás al día!

¡Estás al día!

Has visto todos los archivos