chevron_left
chevron_right
Todo
Exámenes
chevron_left
chevron_right

examenes

-

Exámenes y ejercicios

He publicado nuevos examenes de 3º Señales y Sistemas: Exámenes y ejercicios

Transformada-de-Fourier.pdf
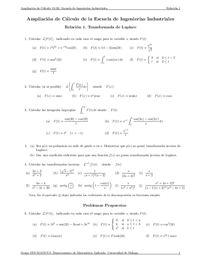
Transformada-de-Laplace.pdf
Septiembre-2013.pdf
Septiembre-2019.pdf
Septiembre-2009.pdf
Febrero-2015.pdf
¡Estás al día!

¡Estás al día!

Has visto todos los archivos