chevron_left
chevron_right
Todo
Apuntes
Ejercicios
Exámenes
Prácticas
chevron_left
chevron_right
Anónimo

@Anónimo

practicas

-

Prácticas

He publicado nuevos practicas de 2º Señales y Sistemas: Prácticas

Practica-1.pdf
Practica-3.pdf
ANEXOMODULACION-Practica-4.pdf
PRACTICA-4.pdf
PRACTICA-5.pdf

He publicado nuevos apuntes de 2º Señales y Sistemas: EJERCICIO-INVENTADO-SERIE-FOURIER.pdf

1 página

He publicado nuevos apuntes de 2º Señales y Sistemas: corregido-EXAMEN-TRANSFORMADA-DE-FOURIER.pdf

1 página

He publicado nuevos apuntes de 2º Señales y Sistemas: TODA-LA-ASIGNATURA-senales-sistemas-y-muchos-examenes.pdf

63 páginas
Anónimo

@Anónimo

He publicado nuevos apuntes de 2º Señales y Sistemas: LIBRO-DE-TEORIA-Y-EJERCICIOS.pdf

362 páginas

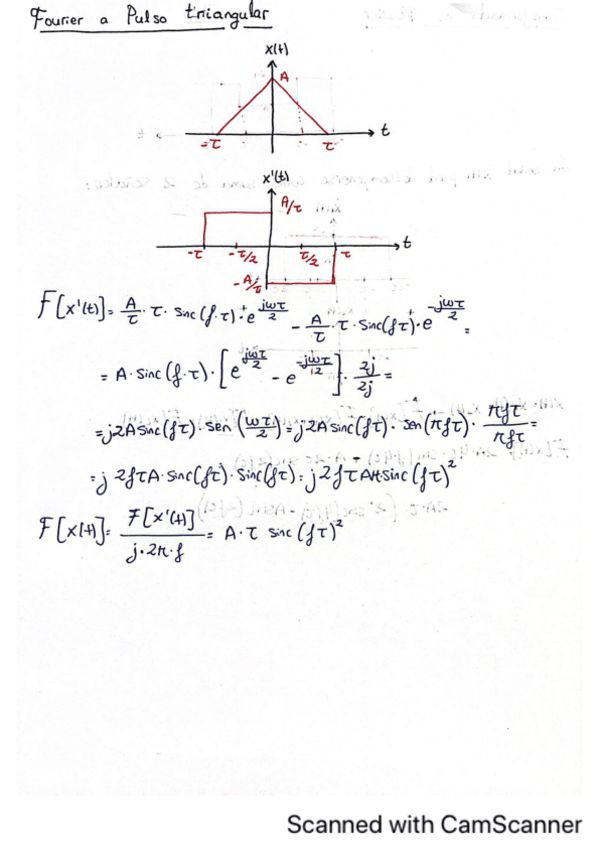
He publicado nuevos apuntes de 2º Señales y Sistemas: EJERCICIO-TRANSFORMADA-FOURIER.pdf

2 páginas
Anónimo

@Anónimo

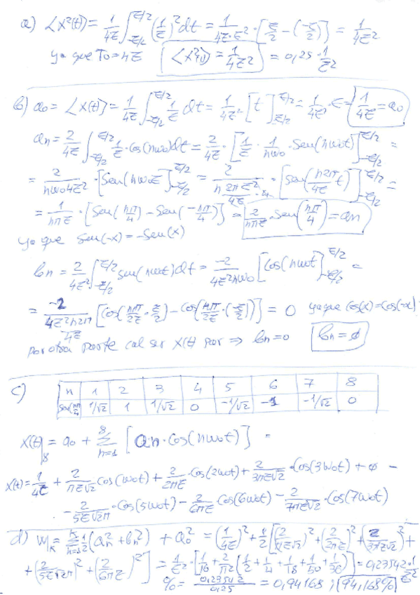
He publicado nuevos apuntes de 2º Señales y Sistemas: EXAMEN-SENALES-2023-SOLUCIONADO.pdf

2 páginas

He publicado nuevos apuntes de 2º Señales y Sistemas: problema-de-muestreo-y-modulacion.pdf

3 páginas

He publicado nuevos apuntes de 2º Señales y Sistemas: Ejercicios-de-examenes-de-Senales.pdf

9 páginas

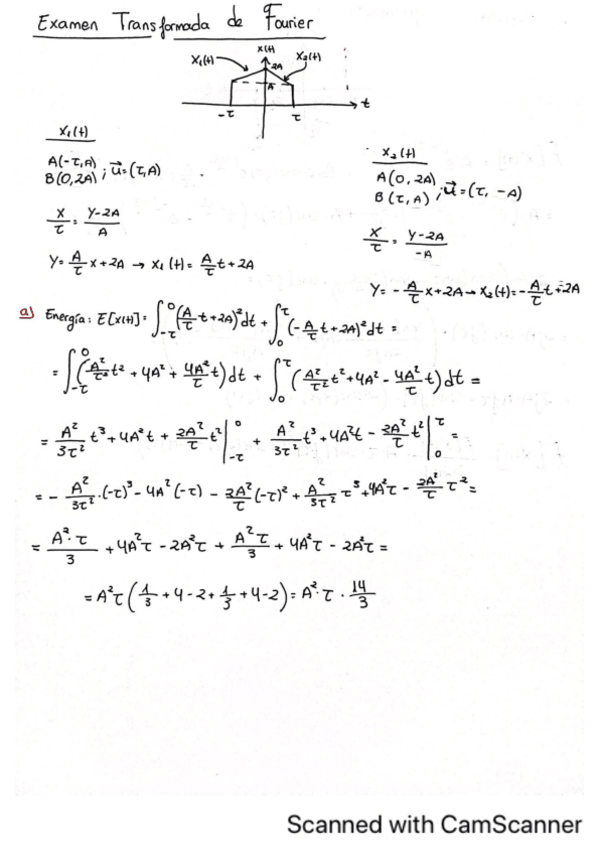
He publicado nuevos apuntes de 2º Señales y Sistemas: Examen-Fourier.pdf

2 páginas

He publicado nuevos apuntes de 2º Señales y Sistemas: Examenes-de-senales-variados-Fourier.pdf

9 páginas

apuntes

-

Apuntes de señales y sistemas de cara al examen

He creado esta carpeta con todos los apuntes necesarios para prepararse la parte de señales

Tema-3-ejercicios.pdf
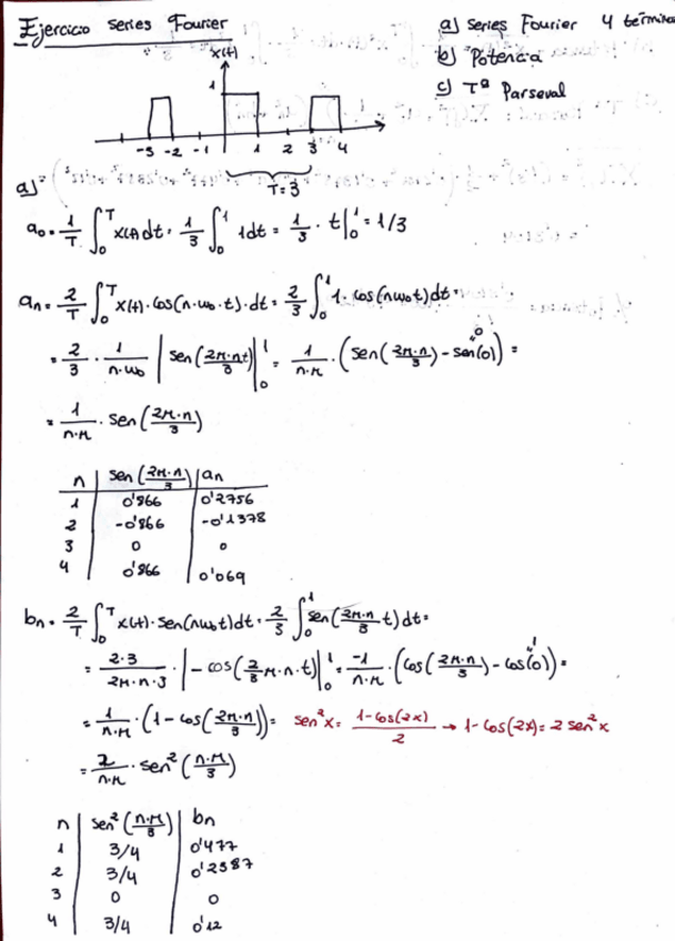
Ejercicios-de-series-de-Fourier.pdf
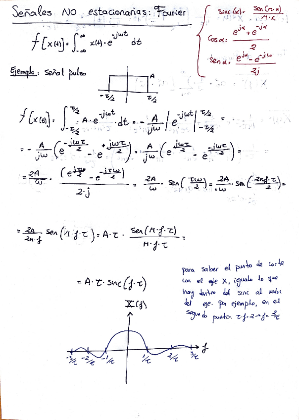
examenes-y-teoria-de-senales-NO-estacionarias.pdf
EJERCICIOS-EXPLICADOS-y-PASO-A-PASO-Fourier-a-senales-no-estacionarias.pdf
Ejercicios-randoms-convolucion-continua.pdf
ejercicio-fourier-senal-estacionaria.pdf

He publicado nuevos apuntes de 2º Señales y Sistemas: calculos-p2-2024.pdf

4 páginas
Anónimo

@Anónimo

He publicado nuevos apuntes de 2º Señales y Sistemas: Resuelto-EXAMEN-SENALES-JULIO-2023.pdf

3 páginas
Anónimo

@Anónimo

He publicado nuevos apuntes de 2º Señales y Sistemas: Practica-1-sys.pdf

26 páginas
Anónimo

@Anónimo

He publicado nuevos apuntes de 2º Señales y Sistemas: Practica2.pdf

20 páginas
Anónimo

@Anónimo

He publicado nuevos apuntes de 2º Señales y Sistemas: practica-4.pdf

20 páginas

He publicado nuevos apuntes de 2º Señales y Sistemas: Toda-la-teoria-y-tareas.pdf

38 páginas

He publicado nuevos apuntes de 2º Señales y Sistemas: RESUMEN-TEMA-6.pdf

8 páginas

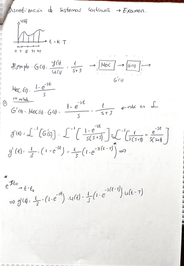
He publicado nuevos apuntes de 2º Señales y Sistemas: EXAMEN-DISCRETIZAR-UN-SISTEMA-CONTINUO.pdf

4 páginas
Anónimo

@Anónimo

He publicado nuevos practicas de 2º Señales y Sistemas: Actividades-Practica-6.pdf

13 páginas
Anónimo

@Anónimo

He publicado nuevos practicas de 2º Señales y Sistemas: Actividades-Practica-3.pdf

20 páginas
Anónimo

@Anónimo

He publicado nuevos practicas de 2º Señales y Sistemas: Actividades-Practica-5.pdf

12 páginas
Anónimo

@Anónimo

He publicado nuevos examenes de 2º Señales y Sistemas: Ejemplo-examen.pdf

18 páginas

He publicado nuevos ejercicios de 2º Señales y Sistemas: Tarea-senales.pdf

1 página

He publicado nuevos examenes de 2º Señales y Sistemas: Solucion-senales-2122.pdf

1 página
¡Estás al día!

¡Estás al día!

Has visto todos los archivos