chevron_left
chevron_right
Todo
Apuntes
Ejercicios
Exámenes
Prácticas
chevron_left
chevron_right

Solución Examen Parcial 2, convocatoria ordinaria curso 2025-2026

21 páginas

Apuntes de los comandos de las prácticas 3 y 4 para el segundo parcial, de OSPF y MPLS

2 páginas

He publicado nuevos apuntes de 3º Señalización y Conmutación: EXAMENES-SYC.zip

Miniatura no disponible
zip

He publicado nuevos apuntes de 3º Señalización y Conmutación: EXAMENES-SYC-BLANCO.zip

Miniatura no disponible
zip

He publicado nuevos apuntes de 3º Señalización y Conmutación: 2025-ENERO.pdf

16 páginas

He publicado nuevos apuntes de 3º Señalización y Conmutación: 2024-JULIO.pdf

18 páginas

He publicado nuevos apuntes de 3º Señalización y Conmutación: 2025-ENERO-BLANCO.pdf

16 páginas

He publicado nuevos apuntes de 3º Señalización y Conmutación: 2024-NOVIEMBRE-BLANCO.pdf

5 páginas

He publicado nuevos apuntes de 3º Señalización y Conmutación: 2024-JULIO-BLANCO.pdf

18 páginas

He publicado nuevos apuntes de 3º Señalización y Conmutación: 2024-ENERO-BLANCO.pdf

18 páginas

He publicado nuevos apuntes de 3º Señalización y Conmutación: 2023-NOVIEMBRE-BLANCO.pdf

5 páginas

Resumen del Tema 5 de SyC completo

11 páginas

solución del primer parcial de noviembre del curso 2025-2026

23 páginas

He publicado nuevos apuntes de 3º Señalización y Conmutación: Resumen Tema 4 - MPLS.pdf

11 páginas

He publicado nuevos apuntes de 3º Señalización y Conmutación: Pasos-de-la-P1-y-explicados.pdf

15 páginas

He publicado nuevos examenes de 3º Señalización y Conmutación: Examenes-SyC-en-Blanco-y-sus-Soluciones-Primer-Parcial.zip

Miniatura no disponible
zip

He publicado nuevos examenes de 3º Señalización y Conmutación: 2024-NOVIEMBRE.pdf

23 páginas

He publicado nuevos examenes de 3º Señalización y Conmutación: 2024-JULIO.pdf

22 páginas

He publicado nuevos examenes de 3º Señalización y Conmutación: 2023-NOVIEMBRE.pdf

20 páginas

He publicado nuevos examenes de 3º Señalización y Conmutación: 2024-JULIO-BLANCO.pdf

16 páginas

He publicado nuevos examenes de 3º Señalización y Conmutación: 2024-NOVIEMBRE-BLANCO.pdf

16 páginas

He publicado nuevos examenes de 3º Señalización y Conmutación: 2023-NOVIEMBRE-BLANCO.pdf

15 páginas

He publicado nuevos apuntes de 3º Señalización y Conmutación: P1-SYC.pdf

21 páginas

He publicado nuevos apuntes de 3º Señalización y Conmutación: Pasos-de-la-p3-y-explicados.pdf

8 páginas

He publicado nuevos apuntes de 3º Señalización y Conmutación: Resumen tema 3 - OSPF.pdf

7 páginas

He publicado nuevos apuntes de 3º Señalización y Conmutación: Resumen tema 1 SyC.pdf

3 páginas

He publicado nuevos apuntes de 3º Señalización y Conmutación: Resumen tema 2 SyC.pdf

9 páginas

apuntes

-

Primer parcial con preguntas propuestas VoIP

He publicado nuevos apuntes de 3º Señalización y Conmutación: Primer parcial con preguntas propuestas VoIP

SyC-VLAN.pdf
SyC-VoIP--preguntas-propuestas.pdf
SyC-OSPF.pdf

apuntes

-

Practica4SYC

MPLS

2023-2024-SYC-P4-MPLS-Enunciado-V1.1.pdf
Practica3SYC.pdf
Miniatura no disponible
Comandos-para-activar-MPLS-y-LDP.txt

ejercicios

-

OSPF

He publicado nuevos ejercicios de 3º Señalización y Conmutación: OSPF

Ejercicios-OSPF-1-20.pdf
Ejercicios-OSPF-21-41.pdf
OSPF.pdf

ejercicios

-

MPLS

He publicado nuevos ejercicios de 3º Señalización y Conmutación: MPLS

Ejercicios-MPLS-1-18.pdf
Ejercicios-MPLS-19-37.pdf
MPLS.pdf

ejercicios

-

VLAN

He publicado nuevos ejercicios de 3º Señalización y Conmutación: VLAN

Ejercicios-VLAN-1-16.pdf
Ejercicios-VLAN-17-34.pdf
Tema-1-VLAN.pdf

ejercicios

-

QoS

He publicado nuevos ejercicios de 3º Señalización y Conmutación: QoS

Ejercicios-QoS..pdf
Ejercicios-Qos.pdf
Ejercicios-QoS-propuesto.pdf

apuntes

-

Test IPv6 Resuelto

He publicado nuevos apuntes de 3º Señalización y Conmutación: Test IPv6 Resuelto

Test-IPv6-Resuelto.pdf
Test-IPv6-LIMPIO.pdf

ejercicios

-

IPv6

He publicado nuevos ejercicios de 3º Señalización y Conmutación: IPv6

Ejercicios-IPv6.pdf
IPv6.pdf

examenes

-

ExámenesP2(2019-2024)(eliminado algunos por wuolah)

He publicado nuevos examenes de 3º Señalización y Conmutación: ExámenesP2(2019-2024)(eliminado algunos por wuolah)

ENERO-2019-P4-T5.pdf
ENERO-2020-T4-P4.pdf
ENERO-2022-T3-T4-T5-P4.pdf
ENERO-2024-T3-T4-T5-P4.pdf
ExamenesT3.pdf
Anónimo

@Anónimo

examenes

-

Exámenes Segundo Parcial

He publicado nuevos examenes de 3º Señalización y Conmutación: Exámenes Segundo Parcial

Enero-2023.pdf
Anónimo

@Anónimo

examenes

-

Exámenes Primer Parcial

He publicado nuevos examenes de 3º Señalización y Conmutación: Exámenes Primer Parcial

Final-2023.pdf
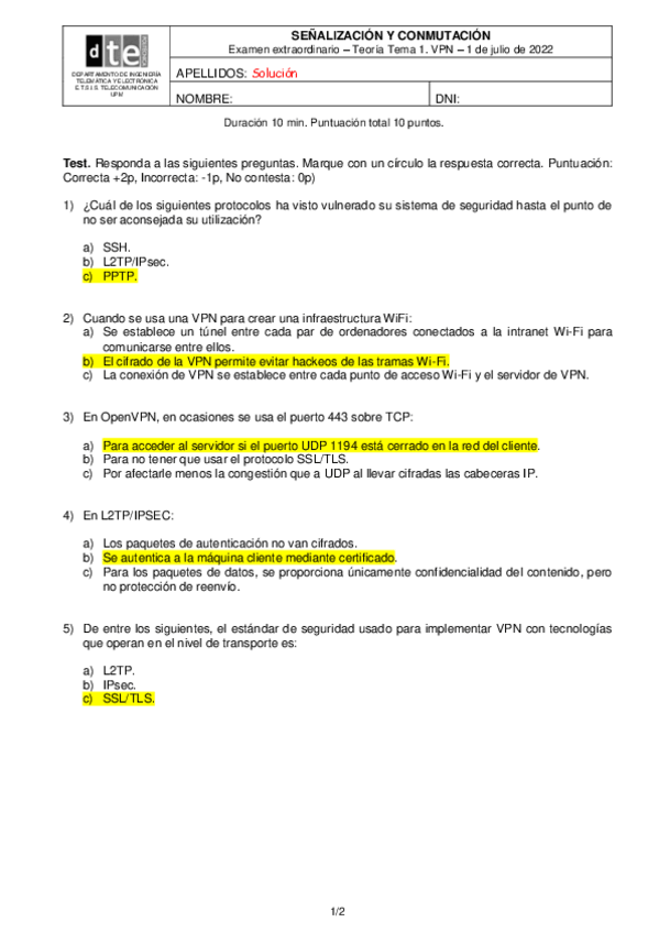
Julio-2022-Lab.pdf
Julio-2022.pdf
Junio-VLAN-2022.pdf
Mayo-VLAN-2021.pdf
Mayo-VLAN-2022.pdf

He publicado nuevos apuntes de 3º Señalización y Conmutación: Tema-3.pdf

9 páginas

He publicado nuevos apuntes de 3º Señalización y Conmutación: Tema-1.pdf

6 páginas

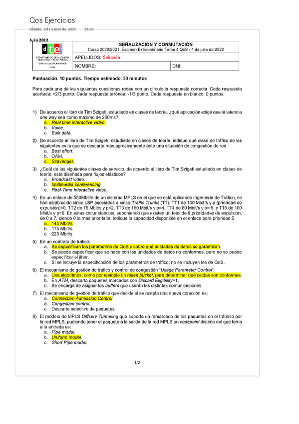
He publicado nuevos apuntes de 3º Señalización y Conmutación: tema-4-QoS.pdf

7 páginas

He publicado nuevos apuntes de 3º Señalización y Conmutación: tema-2.pdf

8 páginas

He publicado nuevos examenes de 3º Señalización y Conmutación: 202-2021-SYC-Evaluacion-Continua-Diciembre3-Practica3-VoIP-V1.1-Solucion.pdf

8 páginas

He publicado nuevos examenes de 3º Señalización y Conmutación: 202-2021-SYC-Evaluacion-Continua-Diciembre3-Tema2-VoIP-1.0-Solucion.pdf

4 páginas

He publicado nuevos examenes de 3º Señalización y Conmutación: 2020-2021-RRSSAA-EC2-28-Mayo-STP-Practica-VLAN-Solucion.pdf

4 páginas

He publicado nuevos examenes de 3º Señalización y Conmutación: 2021-2022-RRSSAA-EC2-27-Mayo-Practica-VLAN-Solucion.pdf

4 páginas

He publicado nuevos examenes de 3º Señalización y Conmutación: 2021-2022-RRSSAA-F-Extra-30-Junio-Parte-EC2-Practica-VLAN-Solucion.pdf

4 páginas

He publicado nuevos apuntes de 3º Señalización y Conmutación: 2023-2024-SYC-Tema1-VLAN-STP-v2.0.pdf

25 páginas

He publicado nuevos practicas de 3º Señalización y Conmutación: INFORME-PRACTICA-1.pdf

16 páginas

He publicado nuevos practicas de 3º Señalización y Conmutación: INFORME-PRACTICA-2.pdf

14 páginas

He publicado nuevos practicas de 3º Señalización y Conmutación: INFORME-PRACTICA-3.pdf

14 páginas

He publicado nuevos practicas de 3º Señalización y Conmutación: INFORME-PRACTICA-4.pdf

12 páginas

examenes

-

Examenes

He publicado nuevos examenes de 3º Señalización y Conmutación: Examenes

2018.pdf
2018-2019-SYC-10-Diciembre-Tema3-MPLS-Practica3-VoIP.pdf
SYC-OTO19-20-Examen-Practica-1-Ordinario-Solucion.pdf
2020-2021-SYC-26-Enero-T3CP-T4QoS-T5IPv6-P4MPLS-SolucionV1.pdf
2020-2021-SYC-T1P1VPN-P2OSPF-Evaluacion-Continua-Noviembre-12-Solucion.pdf
2020-2021-SYC-3-Diciembre-Tema2-Practica3-VoIP-Solucion.pdf

He publicado nuevos practicas de 3º Señalización y Conmutación: MEMORIA-P1.pdf

20 páginas

apuntes

-

EXAMENES

He publicado nuevos apuntes de 3º Señalización y Conmutación: EXAMENES

2019-2020-SYC-27Noviembre-T3-MPLS-P3-VoIP-Solucion.pdf
2018-2019-SYC-10-Diciembre-Tema3-MPLS-Practica3-VoIP.pdf
2018-2019-SYC-Extraordinario-Practica-Solucion.pdf
SYC-OTO19-20-Examen-Practica-1-Ordinario-Solucion.pdf
SYC-OTO18-19-Examen-Practica-4-y-T4-QoS-OrdinarioSolucion-v1.pdf
2019-2020-SYC-17EneroTema-4-QoS-Solucion-V1.pdf
¡Estás al día!

¡Estás al día!

Has visto todos los archivos