Simulación Computacional y Automatización de Sistemas

chevron_left
chevron_right
Todo
Exámenes
chevron_left
chevron_right
Anónimo

@Anónimo

Parte de Propiiedades Electroópticas. Enunciados.

2 páginas
Anónimo

@Anónimo

Ejercicio del examen resuelto.

1 página

He publicado nuevos examenes de 1º Simulación Computacional y Automatización de Sistemas: Examen-extraordinario-automatizacion.pdf

6 páginas
Anónimo

@Anónimo

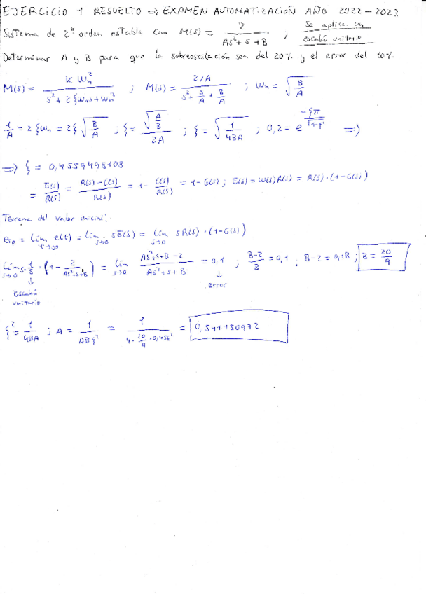
He publicado nuevos examenes de 1º Simulación Computacional y Automatización de Sistemas: ExAtomatizacion22-23ej1resuelto.pdf

1 página
Anónimo

@Anónimo

Examen curso 20-21.

1 página
¡Estás al día!

¡Estás al día!

Has visto todos los archivos