Simulación de Sistemas Logísticos

chevron_left
chevron_right
Todo
Apuntes
Ejercicios
Exámenes
Prácticas
chevron_left
chevron_right

ejercicios

-

EJERCICIOS SLOG

He publicado nuevos ejercicios de 4º Simulación de Sistemas Logísticos: EJERCICIOS SLOG

Hoja-1.1-Extra-sistemas.pdf
Hoja-1.pdf
Ejercicios-Tema-1-de-clase.pdf
Hoja-2.pdf

apuntes

-

TEMARIO SLOG

He publicado nuevos apuntes de 4º Simulación de Sistemas Logísticos: TEMARIO SLOG

Tema-2-Simulacion-en-modelos-de-colas.pdf
Tema-3-Generacion-de-variables-aleatorias.pdf
ANEXO-REPASO-PROBABILIDAD.pdf
ANEXO-DISTRIBUCIONES.pdf
Tema-1-Introduccion-a-la-simulacion-de-N-aleatorios.pdf
Tema-4-Otras-aplicaciones-de-la-simulacion.pdf

ejercicios

-

Ejercicios simulación

He publicado nuevos ejercicios de 4º Simulación de Sistemas Logísticos: Ejercicios simulación

Agencia-tributaria.pdf
Componentes-en-serie.pdf
Empresa-de-envasado.pdf
Fabricacion-de-productos.pdf
Taller-de-mantenimiento-de-autobuses.pdf

He publicado nuevos apuntes de 4º Simulación de Sistemas Logísticos: TEMA-1.pdf

7 páginas

He publicado nuevos apuntes de 4º Simulación de Sistemas Logísticos: TEMA-2.pdf

20 páginas

He publicado nuevos apuntes de 4º Simulación de Sistemas Logísticos: Pseudocodigo-SLOG.pdf

1 página

He publicado nuevos apuntes de 4º Simulación de Sistemas Logísticos: Rev.pdf

4 páginas

He publicado nuevos apuntes de 4º Simulación de Sistemas Logísticos: Repaso-distribuciones-SLOG.pdf

9 páginas

He publicado nuevos apuntes de 4º Simulación de Sistemas Logísticos: Tema-1-SLOG.pdf

10 páginas

He publicado nuevos apuntes de 4º Simulación de Sistemas Logísticos: Tema-2-SLOG.pdf

17 páginas

He publicado nuevos apuntes de 4º Simulación de Sistemas Logísticos: Tema-3-SLOG.pdf

7 páginas

He publicado nuevos examenes de 4º Simulación de Sistemas Logísticos: Examenes-Resueltos.pdf

19 páginas

ejercicios

-

Ejercicios Resueltos

He publicado nuevos ejercicios de 4º Simulación de Sistemas Logísticos: Ejercicios Resueltos

Trazas-Simulacion.pdf
Generacion-Variables-Aleatorias.pdf

He publicado nuevos ejercicios de 4º Simulación de Sistemas Logísticos: ejercicios-resueltos-SLOG-Hojas-1-2-3.pdf

18 páginas

He publicado nuevos ejercicios de 4º Simulación de Sistemas Logísticos: Hoja-4-SLOG.pdf

12 páginas

He publicado nuevos ejercicios de 4º Simulación de Sistemas Logísticos: Hoja-3-SLOG.pdf

11 páginas

He publicado nuevos ejercicios de 4º Simulación de Sistemas Logísticos: Hoja-2-SLOG.pdf

10 páginas

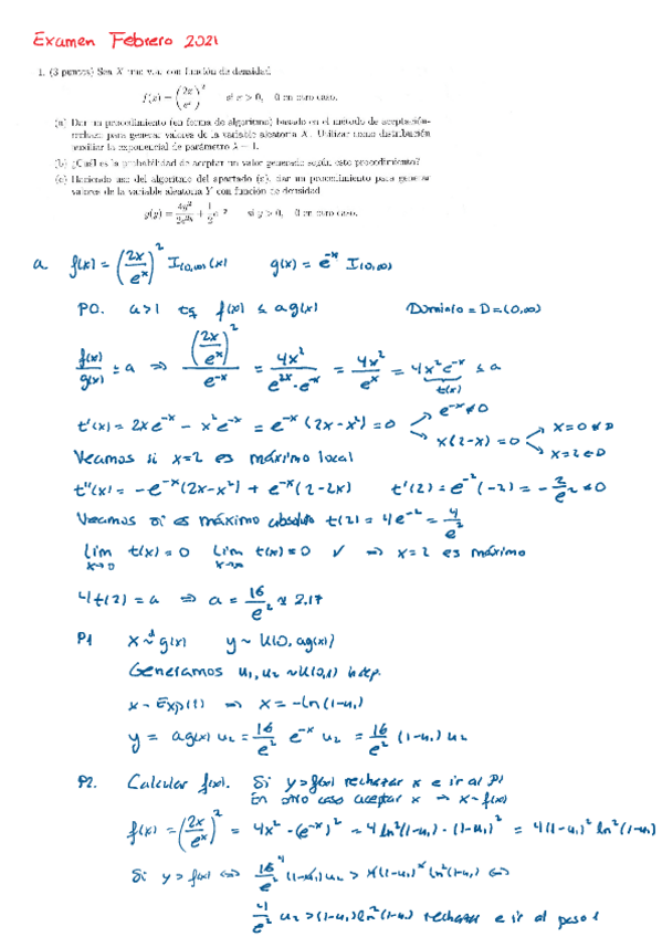
He publicado nuevos examenes de 4º Simulación de Sistemas Logísticos: Examen-2021-SLOG.pdf

2 páginas

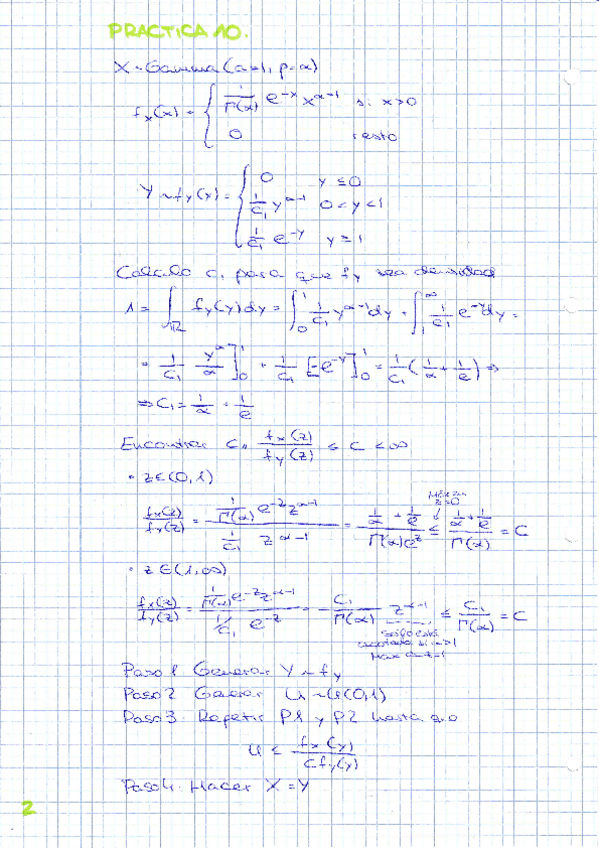
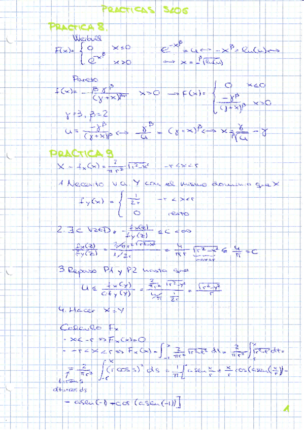
He publicado nuevos practicas de 4º Simulación de Sistemas Logísticos: Ej-practica-SLOG.pdf

10 páginas

He publicado nuevos ejercicios de 4º Simulación de Sistemas Logísticos: Ejercicio-clase-SLOG.pdf

4 páginas

He publicado nuevos apuntes de 4º Simulación de Sistemas Logísticos: SLOG-Tema-2.pdf

25 páginas
¡Estás al día!

¡Estás al día!

Has visto todos los archivos