chevron_left
chevron_right
Todo
Apuntes
Ejercicios
Exámenes
Prácticas
chevron_left
chevron_right

apuntes

-

Exámenes

He publicado nuevos apuntes de 3º Sistemas de Control: Exámenes

exscdic19.pdf
exscjun19.pdf
exscsep20.pdf
P1-Dic-2013.pdf
P1-Dic-2016.pdf
P1-Jun-2014.pdf

He publicado nuevos ejercicios de 3º Sistemas de Control: Problema-2.pdf

4 páginas

He publicado nuevos ejercicios de 3º Sistemas de Control: Problema-1.pdf

4 páginas

He publicado nuevos apuntes de 3º Sistemas de Control: Sistemas-Discretos-Realimentados.pdf

5 páginas

He publicado nuevos apuntes de 3º Sistemas de Control: Nyquist.pdf

3 páginas

He publicado nuevos apuntes de 3º Sistemas de Control: Lugar-De-Las-Raices.pdf

11 páginas

He publicado nuevos apuntes de 3º Sistemas de Control: Estabilidad-Y-Precision.pdf

10 páginas

He publicado nuevos apuntes de 3º Sistemas de Control: Discretizacion-Reguladores-Continuos.pdf

6 páginas

He publicado nuevos apuntes de 3º Sistemas de Control: Criterio-De-Jury.pdf

2 páginas

He publicado nuevos apuntes de 3º Sistemas de Control: Controladores-Tiempo-Minimo.pdf

7 páginas

He publicado nuevos apuntes de 3º Sistemas de Control: Controladores-Tiempo-Finito.pdf

10 páginas

He publicado nuevos apuntes de 3º Sistemas de Control: Controladores-De-Cancelacion.pdf

6 páginas

He publicado nuevos apuntes de 3º Sistemas de Control: Controladores-ASIGNACION-DE-POLOS.pdf

7 páginas

He publicado nuevos apuntes de 3º Sistemas de Control: Diseno-Reguladores-Discretos-Tecnicas-Clasicas.pdf

3 páginas

He publicado nuevos apuntes de 3º Sistemas de Control: Diseno-Reguladores-Continuos-tecnica-LDR.pdf

10 páginas

He publicado nuevos apuntes de 3º Sistemas de Control: Diseno-De-Reguladores-Con-Metodos-Frecuencia-les.pdf

4 páginas

He publicado nuevos apuntes de 3º Sistemas de Control: Analisis-Dinamico-Sistemas-Discreto.pdf

7 páginas

He publicado nuevos apuntes de 3º Sistemas de Control: Analisis-Dinamico-En-El-Dominio-De-La-Frecuencia-2.pdf

11 páginas

He publicado nuevos apuntes de 3º Sistemas de Control: Acciones-Basicas-De-Control.pdf

5 páginas

He publicado nuevos apuntes de 3º Sistemas de Control: Septiembre-2019.pdf

6 páginas

CON APUNTES

127 páginas

He publicado nuevos apuntes de 3º Sistemas de Control: Septiembre-2017.pdf

13 páginas

He publicado nuevos apuntes de 3º Sistemas de Control: Septiembre-2016-1.pdf

8 páginas

He publicado nuevos apuntes de 3º Sistemas de Control: Septiembre-2014.pdf

13 páginas

He publicado nuevos apuntes de 3º Sistemas de Control: Septiembre-2013.pdf

8 páginas

He publicado nuevos apuntes de 3º Sistemas de Control: Junio-2020.pdf

9 páginas

He publicado nuevos apuntes de 3º Sistemas de Control: Junio-2019.pdf

15 páginas

He publicado nuevos apuntes de 3º Sistemas de Control: Junio-2018.pdf

10 páginas

He publicado nuevos apuntes de 3º Sistemas de Control: Junio-2017.pdf

13 páginas

He publicado nuevos apuntes de 3º Sistemas de Control: Junio-2016.pdf

13 páginas

He publicado nuevos apuntes de 3º Sistemas de Control: Junio-2014.pdf

16 páginas

He publicado nuevos apuntes de 3º Sistemas de Control: Junio-2015.pdf

4 páginas

He publicado nuevos apuntes de 3º Sistemas de Control: Junio-2013.pdf

3 páginas

He publicado nuevos apuntes de 3º Sistemas de Control: Diciembre-2018.pdf

18 páginas

He publicado nuevos apuntes de 3º Sistemas de Control: Diciembre-2019.pdf

8 páginas

He publicado nuevos apuntes de 3º Sistemas de Control: Diciembre-2017.pdf

8 páginas

He publicado nuevos apuntes de 3º Sistemas de Control: Diciembre-2016.pdf

13 páginas

He publicado nuevos apuntes de 3º Sistemas de Control: Diciembre-2015.pdf

12 páginas

He publicado nuevos apuntes de 3º Sistemas de Control: Diciembre-2014.pdf

13 páginas

He publicado nuevos apuntes de 3º Sistemas de Control: Apuntes-Sist-de-Control-2019-2020.pdf

119 páginas

apuntes

-

Exámenes Resueltos

He publicado nuevos apuntes de 3º Sistemas de Control: Exámenes Resueltos

Diciembre-2019.pdf
Diciembre-2021.jpg
Diciembre-2015.pdf
Diciembre-2017.pdf
Diciembre-2014.pdf
Diciembre-2018.pdf

apuntes

-

Prácticas

He publicado nuevos apuntes de 3º Sistemas de Control: Prácticas

PRACTICA-5-8.pdf
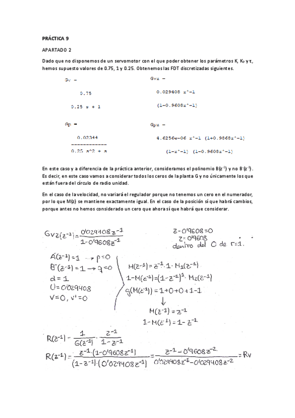
PRACTICA-9-13.pdf
PRACTICA-8-12.pdf
PRACTICA-4-7.pdf
PRACTICA-6-9.pdf
PRACTICA-7-10.pdf

apuntes

-

Problemas

He publicado nuevos apuntes de 3º Sistemas de Control: Problemas

Problemas-resueltos.pdf

apuntes

-

Apuntes

He publicado nuevos apuntes de 3º Sistemas de Control: Apuntes

Bode.pdf
Formulario.pdf
Tema-4.pdf
Tema-3.pdf
Tema-9.pdf
Tema-7.pdf

examenes

-

Exámenes

He publicado nuevos examenes de 3º Sistemas de Control: Exámenes

JUN16.pdf
DIC13.pdf
JUN14.pdf
JUN19.pdf
JUN15.pdf
JUN18-1.pdf
¡Estás al día!

¡Estás al día!

Has visto todos los archivos