Todo
Apuntes
Exámenes
Prácticas
Trabajos
chevron_left
chevron_right

He publicado nuevos apuntes de Sistemas de telefonía fija y móvil: Primeras-tecnologias-moviles.pptx

powerpoint

He publicado nuevos apuntes de Sistemas de telefonía fija y móvil: Mapas-de-cobertura-Companias-telefonicas-Antenas-y-Efectos-sobre-la-salud-de-los-telefonos-moviles.pptx

powerpoint

He publicado nuevos apuntes de Sistemas de telefonía fija y móvil: Tema-5.-Fundamentos-de-la-telefonia-IP.pptx

powerpoint

He publicado nuevos apuntes de Sistemas de telefonía fija y móvil: Tema-4.-Caracteristicas-y-funciones-de-una-centralita.pptx

powerpoint

He publicado nuevos apuntes de Sistemas de telefonía fija y móvil: Tema-3.-Fundamentos-de-la-RDSI.pptx

powerpoint

He publicado nuevos apuntes de Sistemas de telefonía fija y móvil: Tema-2.-Conexion-y-senalizacion-en-la-telefonia-analogica.pptx

powerpoint

He publicado nuevos apuntes de Sistemas de telefonía fija y móvil: Tema-1.-Fundamentos-de-la-telefonia-analogica.pptx

powerpoint

He publicado nuevos trabajos de Sistemas de telefonía fija y móvil: SERVICIOS-SUPLEMENTARIOS-DE-TELEFONIA.pdf

3 páginas

He publicado nuevos apuntes de Sistemas de telefonía fija y móvil: Presentacion-telefonia.pptx

powerpoint

He publicado nuevos practicas de Sistemas de telefonía fija y móvil: Practica-0-Esquema-e-instalacion-de-centralita-telefonica.pdf

8 páginas

He publicado nuevos practicas de Sistemas de telefonía fija y móvil: PRACTICA-2-INSTALACION-Y-CONTROL-DE-PERSIANA.pdf

7 páginas

He publicado nuevos practicas de Sistemas de telefonía fija y móvil: Parte-de-trabajo-Javier-Delgado-Guerrero.docx.pdf

2 páginas

He publicado nuevos practicas de Sistemas de telefonía fija y móvil: PRACTICA-1-INSTALACION-Y-CONTROL-DE-4-LAMPARAS.pdf

5 páginas

He publicado nuevos trabajos de Sistemas de telefonía fija y móvil: Sistemas-de-telefonia-fija-y-movilTarea1.pdf

9 páginas

He publicado nuevos trabajos de Sistemas de telefonía fija y móvil: Sistemas-de-telefonia-fija-y-movilTarea2.pdf

13 páginas

He publicado nuevos apuntes de Sistemas de telefonía fija y móvil: TEMA-2-STFM-copia.pdf

7 páginas

He publicado nuevos apuntes de Sistemas de telefonía fija y móvil: Resumen-T2-STFM-Ivan-Carbelo-Moreno.pdf

4 páginas

He publicado nuevos apuntes de Sistemas de telefonía fija y móvil: resumen-T1-STFM-Ivan-Carbelo-Moreno.pdf

5 páginas

He publicado nuevos trabajos de Sistemas de telefonía fija y móvil: Circuito-telefonicoICM.pdf

4 páginas

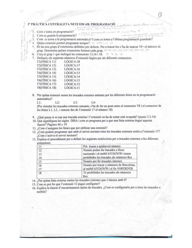
He publicado nuevos examenes de Sistemas de telefonía fija y móvil: 2da-PRACTICA-CENTRALETA-NETCOM.pdf

1 página

He publicado nuevos apuntes de Sistemas de telefonía fija y móvil: telefonia.pdf

46 páginas

He publicado nuevos ejercicios de Sistemas de telefonía fija y móvil: CuestionesPBX.pdf

1 página

He publicado nuevos apuntes de Sistemas de telefonía fija y móvil: PBX5.pdf

15 páginas

apuntes

-

Tecnologías de acceso par cobre

He publicado nuevos apuntes de Sistemas de telefonía fija y móvil: Tecnologías de acceso par cobre

5.pdf
5.pdf
5.pdf
5.pdf
5.pdf
5.pdf

He publicado nuevos apuntes de Sistemas de telefonía fija y móvil: conceptosTDM.pdf

6 páginas

He publicado nuevos ejercicios de Sistemas de telefonía fija y móvil: Cuestiones-U3-v1.pdf

2 páginas

He publicado nuevos apuntes de Sistemas de telefonía fija y móvil: SDH.pdf

7 páginas

He publicado nuevos apuntes de Sistemas de telefonía fija y móvil: T3-Transmisionentelefoniadef4.pdf

32 páginas

He publicado nuevos apuntes de Sistemas de telefonía fija y móvil: STFM-U1.pdf

5 páginas

practicas

-

Prácticas y ejercicios

He publicado nuevos practicas de Sistemas de telefonía fija y móvil: Prácticas y ejercicios

PRACTICA-3a-EVALUACION.pdf
ejercicios-teoria-telefonia-T2.pdf
PRACTICA-7.pdf
1-tema-1-Funcionamiento-del-telefono.pdf
EJERCICIOS-DE-TELEFONIA-REPASO-1.pdf
PREGUNTAS-DE-REPASO-TELEFONIA-tema-3-y-tema-6.pdf

apuntes

-

Apuntes Telefonía

He publicado nuevos apuntes de Sistemas de telefonía fija y móvil: Apuntes Telefonía

RESUMEN-TEMAS-2-Y-6.pdf
EXAMEN-TELEFONIA-2a-ev.pdf
EVOLUCION-TELEFONIA-MOVIL-3aEVALUACION.pdf
Resumen-examen-STF.pdf
Resumen-telefonia-movil.pdf
Esquema-de-funcionamiento-GSM.pdf

apuntes

-

Ejercicios resueltos

He publicado nuevos apuntes de Sistemas de telefonía fija y móvil: Ejercicios resueltos

Medios-trasmision.pdf
Conecterizado.pdf
EjerciciosTelefonia.pdf
InstalacionesBasicas.pdf
Averias.pdf

apuntes

-

Apuntes 3º Evaluación

He publicado nuevos apuntes de Sistemas de telefonía fija y móvil: Apuntes 3º Evaluación

Sistemas-de-telefonia-movil.pdf

He publicado nuevos apuntes de Sistemas de telefonía fija y móvil: RESUMEN-TELEFONIA-T.pdf

16 páginas

He publicado nuevos apuntes de Sistemas de telefonía fija y móvil: TEMA-11.pdf

11 páginas

apuntes

-

Telefonia IP

He publicado nuevos apuntes de Sistemas de telefonía fija y móvil: Telefonia IP

Telefonia-IP.pdf

apuntes

-

TELEFONIA

He publicado nuevos apuntes de Sistemas de telefonía fija y móvil: TELEFONIA

TEMA-7.pdf
TEMA-2.pdf

apuntes

-

1º Evaluación

He publicado nuevos apuntes de Sistemas de telefonía fija y móvil: 1º Evaluación

Dimensionado-de-la-red-de-distribucion-de-telefonia.pdf
1637427405046.jpg
1637427405068.jpg
1637427404994.jpg
Telefonia-fija.pdf
1637427405026.jpg

apuntes

-

Apuntes RDSI

He publicado nuevos apuntes de Sistemas de telefonía fija y móvil: Apuntes RDSI

Red-digital-de-servicios-RDSI.pdf
Instalacion-y-configuracion-inicial-de-una-centralita-telefonica.pdf
Red-digital-de-servicios-integrados.pdf

apuntes

-

TEMAS

Estos temas son todos unos 'powers points'. Teneis que descargarlo para poder verlos.

Miniatura no disponible
TEMA-2.ppsx
Miniatura no disponible
Unidad-9.ppsx
Miniatura no disponible
Unidad-10.ppsx
Miniatura no disponible
Unidad-6.ppsx
Miniatura no disponible
Unidad-8.ppsx
Miniatura no disponible
Unidad-7.ppsx

apuntes

-

FORMULARIOS

He publicado nuevos apuntes de Sistemas de telefonía fija y móvil: FORMULARIOS

Tema1.pdf

He publicado nuevos apuntes de Sistemas de telefonía fija y móvil: T2-Conmutacion-senalizacion-y-encaminamiento.pdf

10 páginas

He publicado nuevos apuntes de Sistemas de telefonía fija y móvil: T1-Redes-publicas-de-comunicaciones.pdf

12 páginas

He publicado nuevos apuntes de Sistemas de telefonía fija y móvil: fo2.pdf

4 páginas

He publicado nuevos apuntes de Sistemas de telefonía fija y móvil: Jerarquias-y-XDSL.pdf

6 páginas

He publicado nuevos apuntes de Sistemas de telefonía fija y móvil: telefonia-2.pdf

5 páginas
Anónimo

@Anónimo

apuntes

-

Apuntes y trabajos

He publicado nuevos apuntes de Sistemas de telefonía fija y móvil: Apuntes y trabajos

Asterisk.pdf
Telefonia-24032020.pdf
Miniatura no disponible
Asterisk.pptx
TRABAJO-DE-MEDIOS-DE-TRANSMISION-GUIADOS.docx
te.docx
Tema-6.pdf

apuntes

-

Telefonia temas 2,6 y 11

He publicado nuevos apuntes de Sistemas de telefonía fija y móvil: Telefonia temas 2,6 y 11

Unidad-11-Sistemas-de-telefonia-movil.pdf
Tema-6.pdf
Tema-2-Procedimiento-de-conexion-y-senalizacion-en-telefonia-analogica.odt

He publicado nuevos apuntes de Sistemas de telefonía fija y móvil: Accesos-basicos-y-promarios.pdf

5 páginas

Es un resumen hecho por el profesor del tema 2 de telefonía

word

apuntes

-

Resumenes esquema

He publicado nuevos apuntes de Sistemas de telefonía fija y móvil: Resumenes esquema

RESUMEN-ESQUEMA-RDSI-Miguel-Botana-Fernandez.pdf
RESUMEN-ESQUEMA-TELEFONIA-MOVIL.pdf
RESUMEN-ESQUEMA-SENALIZACION.pdf
RESUMEN-ESQUEMA-VOIP.pdf
RESUMEN-ESQUEMA-CONMUTACION.pdf
RESUMEN-ESQUEMA-MIC.pdf

He publicado nuevos apuntes de Sistemas de telefonía fija y móvil: PRACTICA-9-VOIP.pdf

23 páginas

He publicado nuevos apuntes de Sistemas de telefonía fija y móvil: PRACTICA-8.pdf

12 páginas

He publicado nuevos apuntes de Sistemas de telefonía fija y móvil: PRACTICA-7-RDSI.pdf

10 páginas

He publicado nuevos apuntes de Sistemas de telefonía fija y móvil: PRACTICA-6-SENALIZACION.pdf

11 páginas

He publicado nuevos apuntes de Sistemas de telefonía fija y móvil: PRACTICA-5-CENTRALITA-PRIVADA.pdf

15 páginas

He publicado nuevos apuntes de Sistemas de telefonía fija y móvil: PRACTICA-4.pdf

11 páginas

He publicado nuevos apuntes de Sistemas de telefonía fija y móvil: PRACTICA-3.pdf

6 páginas

He publicado nuevos apuntes de Sistemas de telefonía fija y móvil: PRACTICA-2.pdf

20 páginas

He publicado nuevos apuntes de Sistemas de telefonía fija y móvil: 13-VoIP.pptx

Miniatura no disponible
powerpoint