chevron_left
chevron_right
Todo
Apuntes
Ejercicios
Exámenes
chevron_left
chevron_right

He publicado nuevos apuntes de 3º Sistemas de Transmisión: Formulario-Tema1.pdf

3 páginas

He publicado nuevos ejercicios de 3º Sistemas de Transmisión: Problemas-Tema4.pdf

7 páginas

He publicado nuevos ejercicios de 3º Sistemas de Transmisión: Problemas-Tema2.pdf

9 páginas

He publicado nuevos ejercicios de 3º Sistemas de Transmisión: Problemas-Tema3.pdf

12 páginas

examenes

-

Examenes

He publicado nuevos examenes de 3º Sistemas de Transmisión: Examenes

Parcial1-2022-soluciones.pdf
Parcial1-2022.pdf
Parcial2-2022-soluciones.pdf
Parcial2-2022.pdf
Parcial2-2023-soluciones.pdf
Parcial2-2023.pdf

apuntes

-

Problemas Resueltos

He publicado nuevos apuntes de 3º Sistemas de Transmisión: Problemas Resueltos

Problemas-Tema-2-Magnitudes-y-Unidades-Soluciones.pdf
Problemas-Tema-3-Medios-de-transmision-en-Linea-Soluciones.pdf
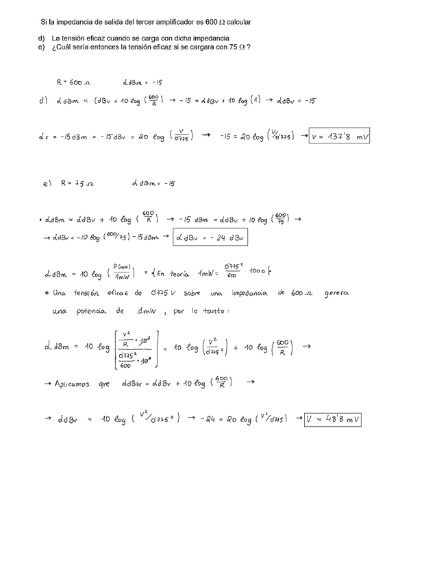
Problemas-Tema-4-Sistemas-de-Transmision-Analogicos-Soluciones.pdf
¡Estás al día!

¡Estás al día!

Has visto todos los archivos