Sistemas Eléctricos de Potencia
He publicado nuevos apuntes de 4º Sistemas Eléctricos de Potencia: SEPT-2k16-RESUELTO.pdf
He publicado nuevos apuntes de 4º Sistemas Eléctricos de Potencia: TESTS-X-DOQUIER.pdf
He publicado nuevos examenes de 4º Sistemas Eléctricos de Potencia: TEORIA-2K19-RESUELTA.pdf
He publicado nuevos apuntes de 4º Sistemas Eléctricos de Potencia: 20200523-1255-Office-Lens.pdf
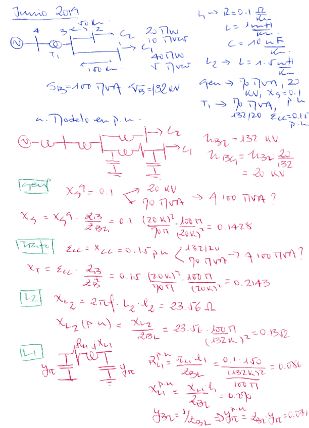
He publicado nuevos apuntes de 4º Sistemas Eléctricos de Potencia: Junio-2k19.pdf
He publicado nuevos apuntes de 4º Sistemas Eléctricos de Potencia: Septiembre-2k19-revisado.pdf
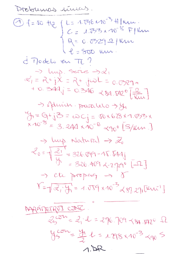
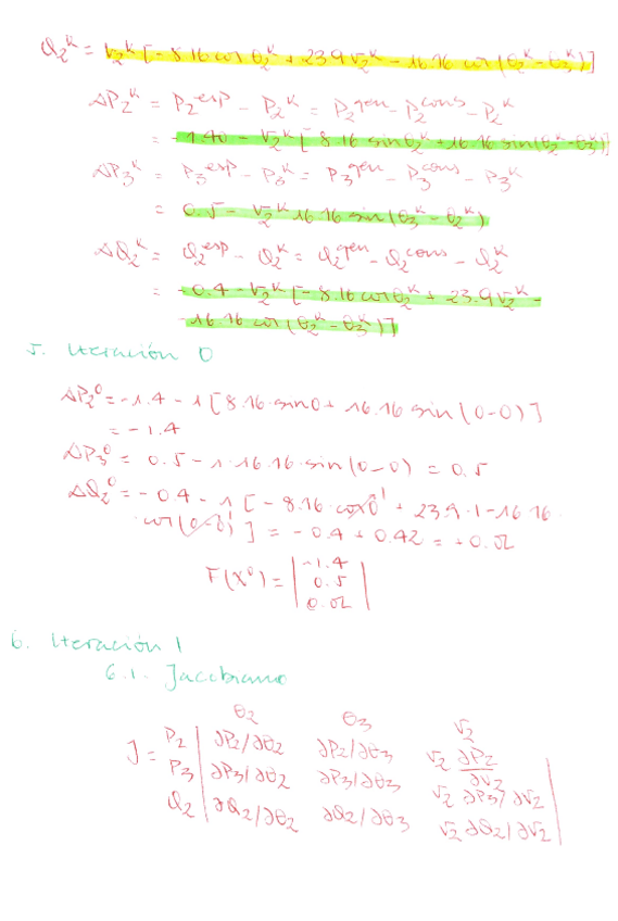
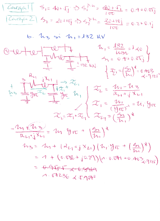
He publicado nuevos apuntes de 4º Sistemas Eléctricos de Potencia: Ejemplo-NR2-DR.pdf
examenes
-
Exámenes últimos años
He publicado nuevos examenes de 4º Sistemas Eléctricos de Potencia: Exámenes últimos años
He publicado nuevos examenes de 4º Sistemas Eléctricos de Potencia: Preguntas-Teoria-SEP.pdf
Examen de la 1ª convocatoria del curso 17/18 (enero 2018). Con la teoría (2 cuestiones) y problemas (4)
He publicado nuevos examenes de 4º Sistemas Eléctricos de Potencia: SEP. Julio 2015.pdf
He publicado nuevos examenes de 4º Sistemas Eléctricos de Potencia: SEP. Sept2016.pdf
He publicado nuevos examenes de 4º Sistemas Eléctricos de Potencia: SEP. Dic2016.pdf
¡Estás al día!
Has visto todos los archivos