Sistemas eléctricos en centrales

chevron_left
chevron_right
Todo
Apuntes
Ejercicios
Trabajos
chevron_left
chevron_right

Estudio detallado sobre el cálculo de secciones para una terna de conductores de cobre con aislamiento XLPE.

9 páginas

He publicado nuevos apuntes de Sistemas eléctricos en centrales: 22EL-MODULO-FV.pdf

12 páginas

He publicado nuevos apuntes de Sistemas eléctricos en centrales: UT-1Actividadesfundamentos-de-electricidad.pdf

7 páginas

He publicado nuevos apuntes de Sistemas eléctricos en centrales: UT3.-El-rele-y-el-contactor.pdf

32 páginas

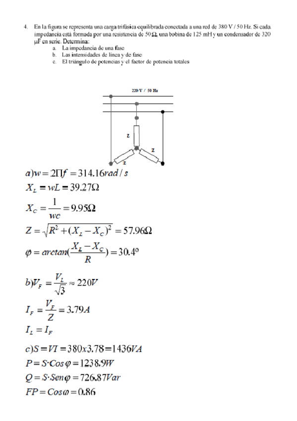
He publicado nuevos ejercicios de Sistemas eléctricos en centrales: PROBLEMAS-DE-TRIFASICAResueltos.pdf

24 páginas

He publicado nuevos apuntes de Sistemas eléctricos en centrales: SOLUCIONARIOSEC.pdf

52 páginas
¡Estás al día!

¡Estás al día!

Has visto todos los archivos