chevron_left
chevron_right
Todo
Apuntes
Exámenes
Prácticas
Trabajos
chevron_left
chevron_right

He publicado nuevos examenes de 4º Sistemas Eléctricos y de Potencia: Ejercicios-Transitorios.pdf

10 páginas

trabajos

-

Informes Laboratorio SEP

He publicado nuevos trabajos de 4º Sistemas Eléctricos y de Potencia: Informes Laboratorio SEP

PracticaFlujosCargaSEP.pdf
PracticaTransitoriosSEP.pdf

apuntes

-

Practica laboratorio

He publicado nuevos apuntes de 4º Sistemas Eléctricos y de Potencia: Practica laboratorio

Practica-I-y-II-Cortocircuitos.pdf

Enunciado de los problemas de los parciales 2 'Flujos de carga' y 3 'Transitorios' del curso 2024-25

2 páginas

Enunciado de los problemas del parcial 1 'Cortocircuitos' del curso 2024-25

2 páginas

Formulario + ejercicio resuelto por Gauss y Newton-Raphson

11 páginas

Créditos a la goticant culant

4 páginas

He publicado nuevos apuntes de 4º Sistemas Eléctricos y de Potencia: SEP_Tema2_Apuntes.pdf

21 páginas

He publicado nuevos apuntes de 4º Sistemas Eléctricos y de Potencia: SEP_Tema1_Apuntes.pdf

8 páginas

He publicado nuevos examenes de 4º Sistemas Eléctricos y de Potencia: Parcial-2-y-3-2023.pdf

2 páginas

He publicado nuevos examenes de 4º Sistemas Eléctricos y de Potencia: Parcial-1-2023.pdf

2 páginas

examenes

-

EXAMENES 22-23

He publicado nuevos examenes de 4º Sistemas Eléctricos y de Potencia: EXAMENES 22-23

Examen-3-Transitorios-22-23.pdf
Examen-2-Flujos-de-Carga-22-23.pdf
Problema-Examen-1-CORTOCIRCUITOS-22-23.pdf
Cuestiones-Examen-1-CORTOCIRCUITOS-22-23.pdf

apuntes

-

Clase VI Transformadores

Sistema de medidas por unidad -- Regulación de Voltaje -- Cálculo de la regulación de voltaje -- Diagrama fasorial del transformador -- Eficiencia del transformador -- Cálculo de la eficiencia

Clase-VI-Transformadores.pdf

Circuito equivalente aproximado del transformador - Determinación de los parámetros en el modelo del transformador

7 páginas

apuntes

-

Sistemas Eléctricos y de Potencia

He publicado nuevos apuntes de 4º Sistemas Eléctricos y de Potencia: Sistemas Eléctricos y de Potencia

segundoytercerparcial.pdf
Primerparcial.pdf

He publicado nuevos apuntes de 4º Sistemas Eléctricos y de Potencia: Resumen-cortocircuitos.pdf

3 páginas

He publicado nuevos apuntes de 4º Sistemas Eléctricos y de Potencia: FLUJOS-DE-POTENCIA-RESUMEN.pdf

pdf

practicas

-

Informes de Prácticas

He publicado nuevos practicas de 4º Sistemas Eléctricos y de Potencia: Informes de Prácticas

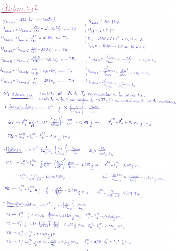
Practicas-1-y-2.pdf
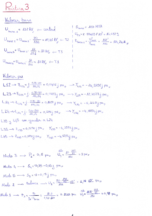
Practica-3.pdf
Practica-4-y-5.pdf

examenes

-

Examen 2020

He publicado nuevos examenes de 4º Sistemas Eléctricos y de Potencia: Examen 2020

Solucion-Control-Cortocircuitos-20-nov-2020.pdf
SolucionControlFlujosCarga2020.jpg
SolucionControlTransitorios2020.pdf

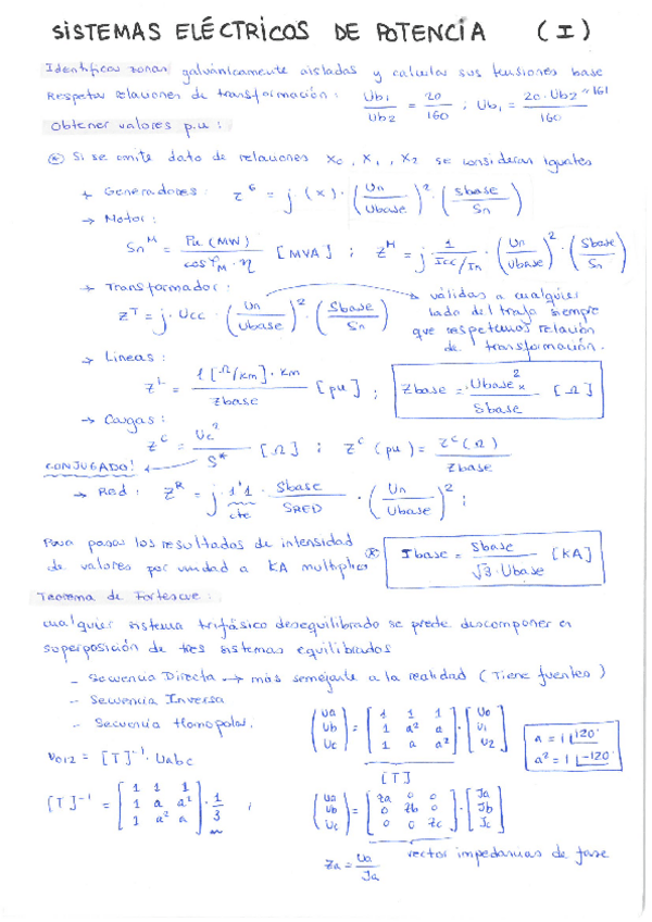
He publicado nuevos apuntes de 4º Sistemas Eléctricos y de Potencia: Formulario-T1-y-T2-SEP.pdf

3 páginas

apuntes

-

FORMULARIO SEP

He publicado nuevos apuntes de 4º Sistemas Eléctricos y de Potencia: FORMULARIO SEP

Resumen-SEP.pdf
CamScanner-12-18-2020-11.pdf

apuntes

-

Cortocircuitos

He publicado nuevos apuntes de 4º Sistemas Eléctricos y de Potencia: Cortocircuitos

Apuntes-cc.pdf
Solucion-Control-Cortocircuitos-20-nov-2020.pdf
Problemas-cc.pdf
Formulas-cc.pdf
problemas-cortos-cc.pdf

apuntes

-

Transitorios

He publicado nuevos apuntes de 4º Sistemas Eléctricos y de Potencia: Transitorios

Problemas-transitorios.pdf
Clase-transitorios.pdf
Formulas-transitorios.pdf

apuntes

-

Flujos de carga

He publicado nuevos apuntes de 4º Sistemas Eléctricos y de Potencia: Flujos de carga

Problemas-FC.pdf
Clase-FC.pdf
Formulario-FC.pdf

apuntes

-

Formularios SEP

He publicado nuevos apuntes de 4º Sistemas Eléctricos y de Potencia: Formularios SEP

Formulario-SEP-1P-T1T2T3.pdf
Formulario-SEP-P2.pdf

apuntes

-

Apuntes SEP

He publicado nuevos apuntes de 4º Sistemas Eléctricos y de Potencia: Apuntes SEP

Apuntes-SEP-P1-T1-T2-T3.pdf
Apuntes-SEP-P2-T4-T5.pdf
Anónimo

@Anónimo

apuntes

-

SIST ELEC DE POTENCIA

He publicado nuevos apuntes de 4º Sistemas Eléctricos y de Potencia: SIST ELEC DE POTENCIA

EXAMENES.pdf
1-CORTOS--RESUMEN.pdf
2-FLUJOS-DE-CARGA.pdf
3-TRANSITORIOS.pdf

He publicado nuevos apuntes de 4º Sistemas Eléctricos y de Potencia: 2-parcial-SEP-Flujos-de-carga-y-Newton-Raph.pdf

25 páginas

He publicado nuevos apuntes de 4º Sistemas Eléctricos y de Potencia: 1-parcial-SEP-cortocircuito.pdf

35 páginas

He publicado nuevos apuntes de 4º Sistemas Eléctricos y de Potencia: formulario-2o-parcial.jpg

Imagen

apuntes

-

EXAMENES DE SEP UPM

He publicado nuevos apuntes de 4º Sistemas Eléctricos y de Potencia: EXAMENES DE SEP UPM

examen-1.jpg
examen-2.jpg
2o-examen-2.jpg
2o-examen-2.jpg
2o-examen-2.jpg
examen-6.jpg

He publicado nuevos apuntes de 4º Sistemas Eléctricos y de Potencia: APUNTES-SISTEMAS-ELECTRICOS-DE-POTENCIA.pdf

176 páginas
¡Estás al día!

¡Estás al día!

Has visto todos los archivos