chevron_left
chevron_right
Todo
Apuntes
Exámenes
Prácticas
Trabajos
chevron_left
chevron_right
Anónimo

@Anónimo

Formulario 2n parcial curso 2025-2026 sistémas eléctricos

2 páginas
Anónimo

@Anónimo

Formulario 1r parcial sistemas eléctricos curso 2025-2026

2 páginas

Formulario respecto a los contenidos impartidos en el primer bimestre

1 página

MÉTODO DE MALLAS

Miniatura no disponible

MÉTODO DE NUDOS

Miniatura no disponible

He publicado nuevos apuntes de 2º Sistemas Eléctricos: Formulario-segundo-parcial.pdf

2 páginas

He publicado nuevos examenes de 2º Sistemas Eléctricos: Formulario-Parcial-1.pdf

2 páginas

He publicado nuevos apuntes de 2º Sistemas Eléctricos: Tema-0-Introduccion.pdf

4 páginas

He publicado nuevos trabajos de 2º Sistemas Eléctricos: Entregable-2.pdf

3 páginas

practicas

-

Practicas resueltas nota 10

Prácticas resueltas todas con nota de 10

Practica-1-CircuitosDC.pdf
Practica-2-CircuitosAC.pdf
Practica-3-Circuitos-3F.pdf
Practica-4-La-Maquina-DC.pdf
Practica-5-El-Transformador.pdf
Practica-6-El-Motor-de-Induccion.docx.pdf

apuntes

-

Tema 7 - Motores de inducción

He publicado nuevos apuntes de 2º Sistemas Eléctricos: Tema 7 - Motores de inducción

701-Calculo-de-Pares-y-Potencias-Metodo-General.pdf
702-Teorema-de-Maxima-Transferencia-de-Potencia.pdf
703-Potencia-Absorbida-por-el-Motor-de-Induccion.pdf
704-Arranque-Estrella-Triangulo.pdf
Capitulo7ElMotordeInduccion1Descripcion.pdf
Capitulo7ElMotordeInduccion2Analisis.pdf

apuntes

-

Tema 6 - Transformadores

He publicado nuevos apuntes de 2º Sistemas Eléctricos: Tema 6 - Transformadores

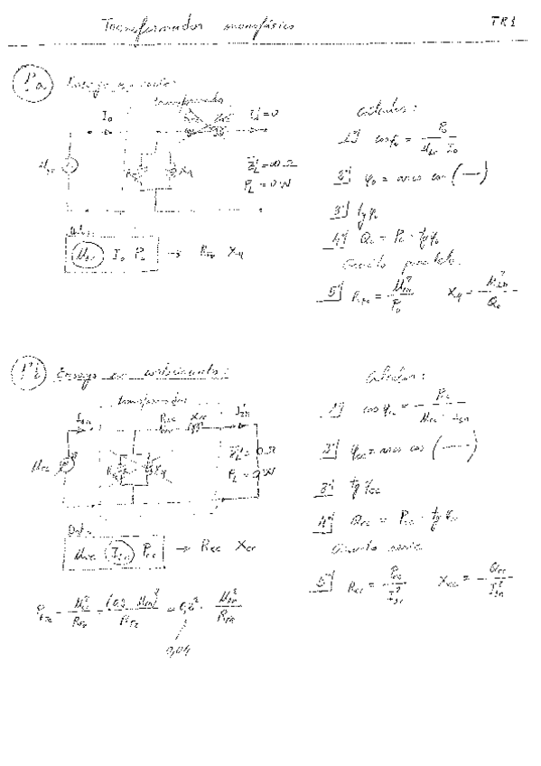
601-Ensayo-de-Vacio-del-Transformador-por-el-Secundario.pdf
602-Problema-no-8-Transformador.pdf
603-Problema-no-9-Transformador.pdf
Capitulo6ElTransformador.pdf
Problemas-del-tema-6-de-SE-El-Transformador.pdf
Resumen-T6-Transformador.pdf

apuntes

-

Tema 5 - Motores DC

He publicado nuevos apuntes de 2º Sistemas Eléctricos: Tema 5 - Motores DC

501-Variables-Magneticas.pdf
502-Ensayo-de-Vacio-Generador-DC-Conexion-Independiente.pdf
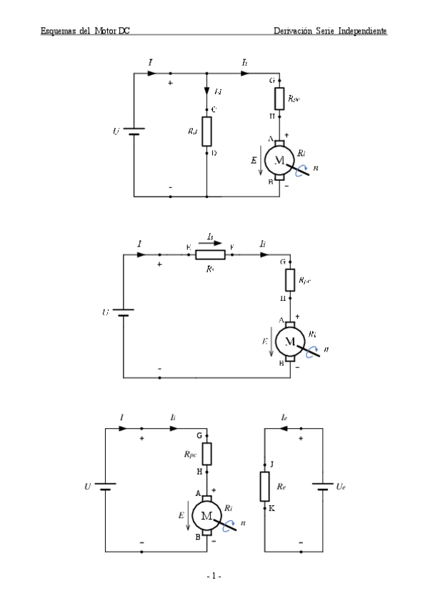
503-Esquemas-del-Motor-DC-Derivacion-Serie-Independiente.pdf
504-Balance-de-Potencias-en-el-Motor-DC.pdf
Capitulo5LaMaquinaDC.pdf
Problemas-del-tema-5-de-SE-La-Maquina-DC.pdf

He publicado nuevos apuntes de 2º Sistemas Eléctricos: Teoria-tema-3-Trifasica.pdf

17 páginas

He publicado nuevos apuntes de 2º Sistemas Eléctricos: Teoria-tema-2-Circuitos-CA.pdf

40 páginas

He publicado nuevos apuntes de 2º Sistemas Eléctricos: Teoria-tema-1-Circuitos-CC.pdf

54 páginas

He publicado nuevos apuntes de 2º Sistemas Eléctricos: Formulario-completo-examen-final.pdf

1 página

He publicado nuevos examenes de 2º Sistemas Eléctricos: 20192020ExSEMaqTarda.pdf

7 páginas

He publicado nuevos examenes de 2º Sistemas Eléctricos: 20192020ExSEMaqMati.pdf

7 páginas

He publicado nuevos examenes de 2º Sistemas Eléctricos: 20182019ExSEMaqTarda.pdf

5 páginas

He publicado nuevos examenes de 2º Sistemas Eléctricos: 20182019ExSEMaqMati.pdf

5 páginas

He publicado nuevos examenes de 2º Sistemas Eléctricos: 20172018ExSEMaqTarda.PDF

7 páginas

He publicado nuevos examenes de 2º Sistemas Eléctricos: 20172018ExSEMaqMati.PDF

8 páginas

He publicado nuevos examenes de 2º Sistemas Eléctricos: 20162017ExSEMaqTarda.PDF

8 páginas

He publicado nuevos examenes de 2º Sistemas Eléctricos: 20162017ExSEMaqMati.PDF

9 páginas

He publicado nuevos examenes de 2º Sistemas Eléctricos: 20152016ExSEMaqTarda.pdf

6 páginas

He publicado nuevos examenes de 2º Sistemas Eléctricos: 20152016ExSEMaqMati.pdf

6 páginas

He publicado nuevos examenes de 2º Sistemas Eléctricos: 20142015ExSEMaqTarda.pdf

7 páginas

He publicado nuevos examenes de 2º Sistemas Eléctricos: 20142015ExSEMaqMati.pdf

7 páginas

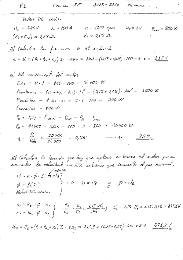
He publicado nuevos examenes de 2º Sistemas Eléctricos: 20132014ExSEMaqTarda.pdf

5 páginas

He publicado nuevos examenes de 2º Sistemas Eléctricos: 20132014ExSEMaqMati.pdf

5 páginas

He publicado nuevos examenes de 2º Sistemas Eléctricos: 20122013ExSEMaqTarda.pdf

6 páginas

He publicado nuevos examenes de 2º Sistemas Eléctricos: 20122013ExSEMaqMati.pdf

6 páginas

He publicado nuevos examenes de 2º Sistemas Eléctricos: 20112012ExSEMaqTarda.pdf

4 páginas

He publicado nuevos examenes de 2º Sistemas Eléctricos: 20112012ExSEMaqMati.pdf

4 páginas

He publicado nuevos examenes de 2º Sistemas Eléctricos: 20102011ExSEMaqTarda.pdf

4 páginas

He publicado nuevos examenes de 2º Sistemas Eléctricos: 20102011ExSEMaqMati.pdf

4 páginas
¡Estás al día!

¡Estás al día!

Has visto todos los archivos