chevron_left
chevron_right
Todo
Apuntes
Ejercicios
Exámenes
Prácticas
Test
chevron_left
chevron_right

apuntes

-

Ejercicios y test 2° parcial SEA

He publicado nuevos apuntes de 4º Sistemas Electroacústicos: Ejercicios y test 2° parcial SEA

Ejercicios.pdf
Tipo-test--explicaciones.pdf

Enero 2025 a 2018 Para estudiar: https://quizgecko.com/learn/examen-de-acustica-indice-sii-y-sti-lrcskt?ref=AlluringMossAgate4925 https://quizgecko.com/learn/acustica-arrays-lineales-y-ease-standard-mapping-khnk8c?ref=AlluringMossAgate4925

15 páginas

He publicado nuevos practicas de 4º Sistemas Electroacústicos: P2-2-corregida.pdf

7 páginas

He publicado nuevos practicas de 4º Sistemas Electroacústicos: P3-corregida.pdf

24 páginas

He publicado nuevos practicas de 4º Sistemas Electroacústicos: P2-1-corregida.pdf

4 páginas

He publicado nuevos practicas de 4º Sistemas Electroacústicos: P1-con-correcciones.pdf

17 páginas

He publicado nuevos ejercicios de 4º Sistemas Electroacústicos: Problemas-2-Filtros.pdf

7 páginas

He publicado nuevos apuntes de 4º Sistemas Electroacústicos: Formulario-2.pdf

3 páginas

He publicado nuevos ejercicios de 4º Sistemas Electroacústicos: Problemas-1-Altavoces.pdf

16 páginas

He publicado nuevos apuntes de 4º Sistemas Electroacústicos: Formulario-1.pdf

3 páginas

He publicado nuevos examenes de 4º Sistemas Electroacústicos: Ejercicios-segundo-parcial.pdf

36 páginas

He publicado nuevos practicas de 4º Sistemas Electroacústicos: P3-SEA-diseno-sistema-altavoces-COMPLETO.pdf

34 páginas

practicas

-

Entregas P2 SEA

He publicado nuevos practicas de 4º Sistemas Electroacústicos: Entregas P2 SEA

lri-P22.pdf
lri-P21.pdf

practicas

-

Entregas P1 SEA

He publicado nuevos practicas de 4º Sistemas Electroacústicos: Entregas P1 SEA

lriP1-1.pdf
lriP1-2.pdf
lriP1-3.pdf

He publicado nuevos ejercicios de 4º Sistemas Electroacústicos: Ejercicios-micros-resueltos-2PARCIAL.pdf

14 páginas

He publicado nuevos ejercicios de 4º Sistemas Electroacústicos: Ejercicios-resueltos-Refuerzo-Sonoro-2PARCIAL.pdf

30 páginas

He publicado nuevos ejercicios de 4º Sistemas Electroacústicos: Ejercicios-resueltos-PRIMER-PARCIAL.pdf

8 páginas

He publicado nuevos ejercicios de 4º Sistemas Electroacústicos: Ejercicios-resueltos-filtros.pdf

7 páginas

He publicado nuevos ejercicios de 4º Sistemas Electroacústicos: Ejercicios-resueltos-altavoces.pdf

7 páginas

He publicado nuevos apuntes de 4º Sistemas Electroacústicos: Respuestas-test-2P.pdf

7 páginas
Anónimo

@Anónimo

practicas

-

Práctica 2: Micrófonos

He publicado nuevos practicas de 4º Sistemas Electroacústicos: Práctica 2: Micrófonos

P2S2corregida.pdf
P2S1corregida.pdf
Anónimo

@Anónimo

practicas

-

Práctica 1: Altavoces

He publicado nuevos practicas de 4º Sistemas Electroacústicos: Práctica 1: Altavoces

P1S1corregida.pdf
P1S2corregida.pdf
P1S3corregida.pdf

He publicado nuevos examenes de 4º Sistemas Electroacústicos: SEA24-1POct.pdf

7 páginas

Teoría y fórmulas que han caído a veces en el 2º parcial. Puede que esté incompleto, pero os puede servir. Lo que está en rojo es teoría que no he visto que haya caído (disclaimer: no he revisado los exámenes de todos los años, solo algunos).

4 páginas

He publicado nuevos practicas de 4º Sistemas Electroacústicos: Practica-2.2.pdf

11 páginas

He publicado nuevos practicas de 4º Sistemas Electroacústicos: Practica-2.1.pdf

7 páginas

He publicado nuevos practicas de 4º Sistemas Electroacústicos: Practica-1.3.pdf

15 páginas

He publicado nuevos practicas de 4º Sistemas Electroacústicos: Práctica-1.2.pdf

10 páginas

He publicado nuevos practicas de 4º Sistemas Electroacústicos: Práctica-1.1.pdf

5 páginas

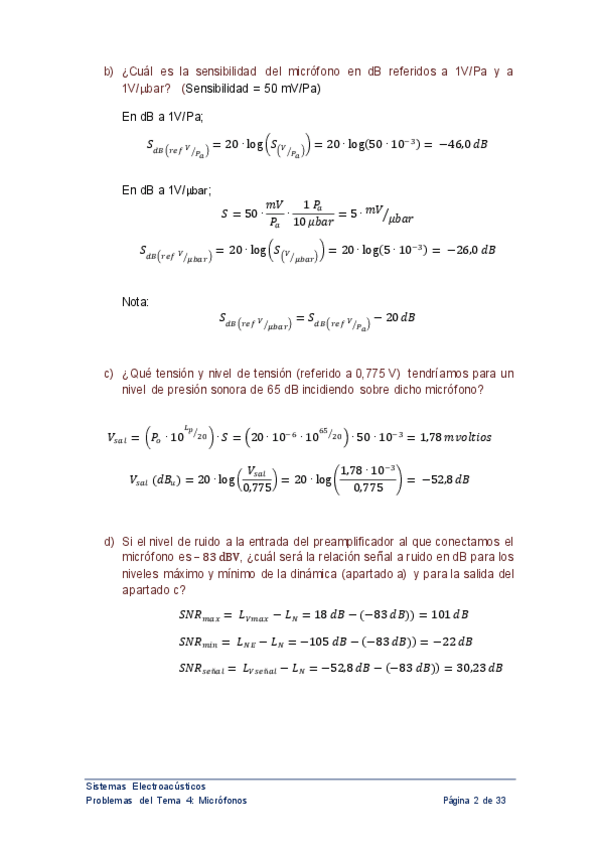
He publicado nuevos ejercicios de 4º Sistemas Electroacústicos: Problemas-resueltos-Microfonos.pdf

33 páginas

He publicado nuevos test de 4º Sistemas Electroacústicos: test-trasductores.pdf

13 páginas

He publicado nuevos examenes de 4º Sistemas Electroacústicos: PreguntasTestSEA.pdf

26 páginas

He publicado nuevos examenes de 4º Sistemas Electroacústicos: SEA232PEne.pdf

8 páginas

He publicado nuevos apuntes de 4º Sistemas Electroacústicos: Chuletario-2-parcial-SEA.pdf

2 páginas

apuntes

-

Primer parcial SEA

He publicado nuevos apuntes de 4º Sistemas Electroacústicos: Primer parcial SEA

1.jpg
Primer-Parcial-Sea.pdf
2.jpg
Apuntes-Primer-tema.pdf

examenes

-

Exámenes Resueltos

He publicado nuevos examenes de 4º Sistemas Electroacústicos: Exámenes Resueltos

EA200604.pdf
EA200506.pdf
EA200606.pdf
EA200706.pdf
EA200802.pdf
EA200704.pdf
¡Estás al día!

¡Estás al día!

Has visto todos los archivos