chevron_left
chevron_right
Todo
Apuntes
Ejercicios
Exámenes
Prácticas
Trabajos
chevron_left
chevron_right
Anónimo

@Anónimo

He publicado nuevos ejercicios de 3º Sistemas Electrónicos Digitales: CuentionesT5Resueltas.pdf

8 páginas

He publicado nuevos ejercicios de 3º Sistemas Electrónicos Digitales: EjerciciosConversoresResueltos.pdf

5 páginas
Anónimo

@Anónimo

examenes

-

solucion 2025 1c

He publicado nuevos examenes de 3º Sistemas Electrónicos Digitales: solucion 2025 1c

p2025061PriegoHuertosol.pdf
teoria1conv2025-26sol.pdf
t2025-06-12p2sol.pdf
Anónimo

@Anónimo

He publicado nuevos examenes de 3º Sistemas Electrónicos Digitales: 2025-1c.pdf

3 páginas
Anónimo

@Anónimo

He publicado nuevos examenes de 3º Sistemas Electrónicos Digitales: ejercicios-Convertidores.pdf

9 páginas
Anónimo

@Anónimo

He publicado nuevos examenes de 3º Sistemas Electrónicos Digitales: ejercicios-PWM.pdf

4 páginas
Anónimo

@Anónimo

He publicado nuevos examenes de 3º Sistemas Electrónicos Digitales: TEORIA-TOP.pdf

28 páginas
Anónimo

@Anónimo

He publicado nuevos examenes de 3º Sistemas Electrónicos Digitales: ejercicios-bus-direcciones.pdf

8 páginas
Anónimo

@Anónimo

He publicado nuevos examenes de 3º Sistemas Electrónicos Digitales: 2024-1c-1.pdf

6 páginas
Anónimo

@Anónimo

He publicado nuevos examenes de 3º Sistemas Electrónicos Digitales: 2024-2c.pdf

4 páginas
Anónimo

@Anónimo

He publicado nuevos examenes de 3º Sistemas Electrónicos Digitales: 2023-1c.pdf

3 páginas
Anónimo

@Anónimo

He publicado nuevos examenes de 3º Sistemas Electrónicos Digitales: 2023-2c.pdf

3 páginas
Anónimo

@Anónimo

He publicado nuevos apuntes de 3º Sistemas Electrónicos Digitales: 2019-1c.pdf

3 páginas
Anónimo

@Anónimo

He publicado nuevos examenes de 3º Sistemas Electrónicos Digitales: 2018-2c.pdf

5 páginas
Anónimo

@Anónimo

He publicado nuevos examenes de 3º Sistemas Electrónicos Digitales: 2017-2c.pdf

3 páginas
Anónimo

@Anónimo

He publicado nuevos examenes de 3º Sistemas Electrónicos Digitales: 2017-1c.pdf

4 páginas
Anónimo

@Anónimo

He publicado nuevos apuntes de 3º Sistemas Electrónicos Digitales: 2016-3c.pdf

3 páginas
Anónimo

@Anónimo

examenes

-

examenes resueltos 2016 -- 2019

He publicado nuevos examenes de 3º Sistemas Electrónicos Digitales: examenes resueltos 2016 -- 2019

examendiciembre1617solucion.pdf
examenjuniosolucion1617.pdf
primera2016solucion.pdf
primera2017solucion.pdf
primera2018solucion.pdf
primera2019solucion.pdf

He publicado nuevos apuntes de 3º Sistemas Electrónicos Digitales: Teoria COMPLETA y EXPLICADA.pdf

66 páginas

He publicado nuevos practicas de 3º Sistemas Electrónicos Digitales: Practicas explicadas.pdf

41 páginas

He publicado nuevos apuntes de 3º Sistemas Electrónicos Digitales: MEMORIA-PARTE-DEL-PROYECTO-VHDL.pdf

5 páginas

He publicado nuevos apuntes de 3º Sistemas Electrónicos Digitales: CODIGOS-DE-TODAS-LAS-PRACTICAS.pdf

153 páginas

He publicado nuevos apuntes de 3º Sistemas Electrónicos Digitales: Apuntes-tema-7.pdf

9 páginas

He publicado nuevos apuntes de 3º Sistemas Electrónicos Digitales: Apuntes-tema-6.pdf

6 páginas

He publicado nuevos apuntes de 3º Sistemas Electrónicos Digitales: Apuntes-tema-5.pdf

20 páginas

He publicado nuevos apuntes de 3º Sistemas Electrónicos Digitales: Apuntes-tema-4.pdf

17 páginas

He publicado nuevos apuntes de 3º Sistemas Electrónicos Digitales: Apuntes-tema-2.pdf

20 páginas

He publicado nuevos apuntes de 3º Sistemas Electrónicos Digitales: Apuntes-tema-1.pdf

14 páginas

He publicado nuevos apuntes de 3º Sistemas Electrónicos Digitales: Tema-cda-y-cad.pdf

9 páginas

He publicado nuevos apuntes de 3º Sistemas Electrónicos Digitales: Tema-memorias.pdf

4 páginas

examenes

-

COLECCIÓN DE EXÁMENES DE PROBLEMAS

He publicado nuevos examenes de 3º Sistemas Electrónicos Digitales: COLECCIÓN DE EXÁMENES DE PROBLEMAS

sedgitt2011-09temphist.pdf
sedgitt2010lavadora.pdf
sedgitt2005-06centralita.pdf
sedgitt2003-09panel.pdf
sedgitt2005-09cruce.pdf
sedgitt2004-09bombeo.pdf

examenes

-

Recopilación Preguntas por tema 2022

He publicado nuevos examenes de 3º Sistemas Electrónicos Digitales: Recopilación Preguntas por tema 2022

Preguntas-tema-7.pdf
Preguntas-tema-4.pdf
Preguntas-tema-1.pdf
Preguntas-tema-2-y-3.pdf
Preguntas-tema-6.pdf
Preguntas-tema-5.pdf

He publicado nuevos apuntes de 3º Sistemas Electrónicos Digitales: PREGUNTAS-DE-EXAMENES-SED.pdf

18 páginas

apuntes

-

Apuntes por temas para aprobar

He publicado nuevos apuntes de 3º Sistemas Electrónicos Digitales: Apuntes por temas para aprobar

Tema-2-redactado.pdf
Tema-8-redactado.pdf
Tema-5-redactado.pdf
Tema-4-redactado.pdf
Tema-7-redactado.pdf
Tema-6-redactado.pdf

apuntes

-

TODA LA TEORÍA HASTA EL TEMA 6

He publicado nuevos apuntes de 3º Sistemas Electrónicos Digitales: TODA LA TEORÍA HASTA EL TEMA 6

teoriaSEDtema4segundaparte.pdf
teoriaSEDtema4primeraparte.pdf
teoriaSEDtemas1y2.pdf
teoriaSEDtema5.pdf
teoriaSEDtema6.pdf
Anónimo

@Anónimo

trabajos

-

Trabajo20-21

He publicado nuevos trabajos de 3º Sistemas Electrónicos Digitales: Trabajo20-21

Trabajo-Implementacion-VHDLv2.pdf
CPOL1CPHA0.png
correccion-hecha-en-v2.pdf
CPOL1CPHA1.png
CPOL0CPHA1.png
CPOLCPHA0.png

He publicado nuevos practicas de 3º Sistemas Electrónicos Digitales: Con-ejercicios-resueltos.zip

Miniatura no disponible
zip

apuntes

-

Apuntes Electrónica Digital

He publicado nuevos apuntes de 3º Sistemas Electrónicos Digitales: Apuntes Electrónica Digital

Tema-3-Sintesis-Circ.pdf
Tema-4-Circ.pdf
Tema-1-Introduccion-E.pdf
Tema-2-Conmutacion-y-Puertas-Logicas.pdf
Tema-6-Biestables.pdf
Tema-5-Circ.pdf

He publicado nuevos examenes de 3º Sistemas Electrónicos Digitales: CamScanner-09-14-2021-13.pdf

29 páginas

He publicado nuevos apuntes de 3º Sistemas Electrónicos Digitales: SED-RESUMEN-TEORIA.pdf

22 páginas

He publicado nuevos apuntes de 3º Sistemas Electrónicos Digitales: resumen-practicas.pdf

35 páginas

apuntes

-

Resúmenes por temas

He publicado nuevos apuntes de 3º Sistemas Electrónicos Digitales: Resúmenes por temas

Tema-1.pdf
Tema-2.pdf

He publicado nuevos apuntes de 3º Sistemas Electrónicos Digitales: SED.pdf

31 páginas

He publicado nuevos apuntes de 3º Sistemas Electrónicos Digitales: TIMER-2.pdf

6 páginas

He publicado nuevos apuntes de 3º Sistemas Electrónicos Digitales: Timer-1.pdf

9 páginas

He publicado nuevos apuntes de 3º Sistemas Electrónicos Digitales: TIMER-0.pdf

9 páginas

He publicado nuevos apuntes de 3º Sistemas Electrónicos Digitales: TIMER-2.docx

word

He publicado nuevos apuntes de 3º Sistemas Electrónicos Digitales: Timer-1.docx

word

He publicado nuevos apuntes de 3º Sistemas Electrónicos Digitales: TIMER-0.docx

word

apuntes

-

P04 Modificaciones Grupo Resueltas

He publicado nuevos apuntes de 3º Sistemas Electrónicos Digitales: P04 Modificaciones Grupo Resueltas

MG3.pdf
MG1.pdf
MG4.pdf
MG2.pdf

apuntes

-

P03 Modificaciones Grupo Resueltas

He publicado nuevos apuntes de 3º Sistemas Electrónicos Digitales: P03 Modificaciones Grupo Resueltas

MG3.pdf
MG1.pdf
MG2.pdf

He publicado nuevos apuntes de 3º Sistemas Electrónicos Digitales: Resumen-de-las-cositas-de-SED.pdf

39 páginas
Anónimo

@Anónimo

examenes

-

examenes

He publicado nuevos examenes de 3º Sistemas Electrónicos Digitales: examenes

sedgitt2005-06centralita.pdf
sedgitt2003-07pluviometro.pdf
sedgitt2007-07reflejos.pdf
sedgitt2006-02expendedora.pdf
sedgitt2004-02puerta.pdf
sedgitt2010lavadora.pdf
Anónimo

@Anónimo

He publicado nuevos practicas de 3º Sistemas Electrónicos Digitales: ResumenPracticasSED.pdf

27 páginas

apuntes

-

Examenes - Problemas

He publicado nuevos apuntes de 3º Sistemas Electrónicos Digitales: Examenes - Problemas

2010-ene.pdf
2011-dic.pdf
2013-jun.pdf
2011-sep.pdf
2003-feb-2.pdf
2015-alternativo.pdf

apuntes

-

Parte problemas

He publicado nuevos apuntes de 3º Sistemas Electrónicos Digitales: Parte problemas

pines.pdf
Registros.pdf
Interrupciones.pdf

He publicado nuevos practicas de 3º Sistemas Electrónicos Digitales: Prácticas.zip

Miniatura no disponible
zip

He publicado nuevos examenes de 3º Sistemas Electrónicos Digitales: Teoria Examen 2018.pdf

2 páginas
Anónimo

@Anónimo

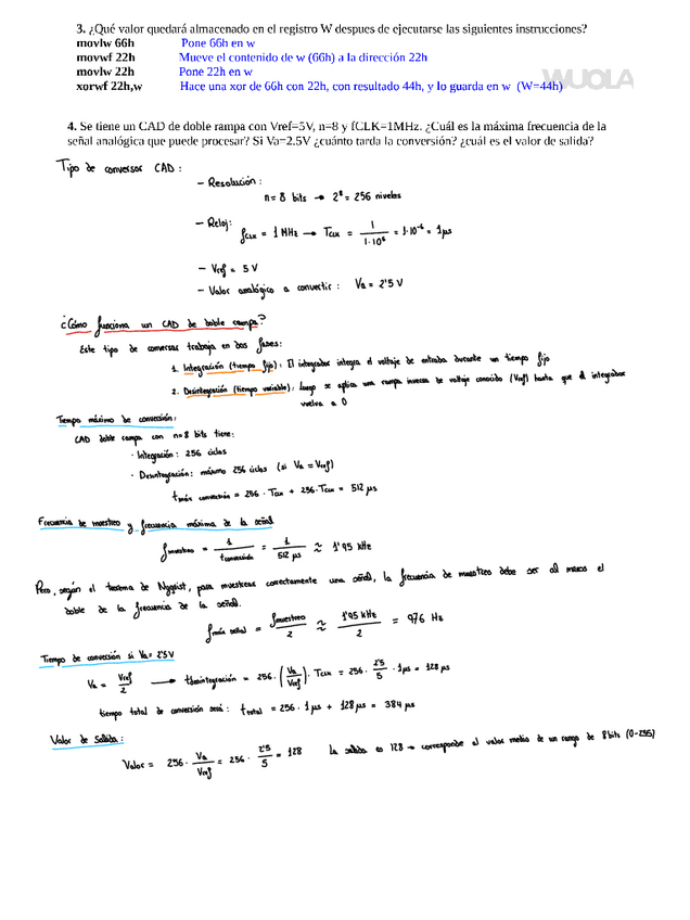
Resuelto y corregido en una tutoría.

4 páginas

He publicado nuevos examenes de 3º Sistemas Electrónicos Digitales: Preguntas de teoria.pdf

19 páginas