chevron_left
chevron_right
Todo
Apuntes
Ejercicios
chevron_left
chevron_right

He publicado nuevos ejercicios de 7º Sistemas Electrónicos Lineales: Ejercicio-Diagrama-de-bode.pdf

9 páginas

He publicado nuevos ejercicios de 7º Sistemas Electrónicos Lineales: Ejercicio-Funcion-de-transferencia-y-cascada.pdf

8 páginas

He publicado nuevos ejercicios de 7º Sistemas Electrónicos Lineales: Ejercicio-Diseno-de-circuito.pdf

3 páginas

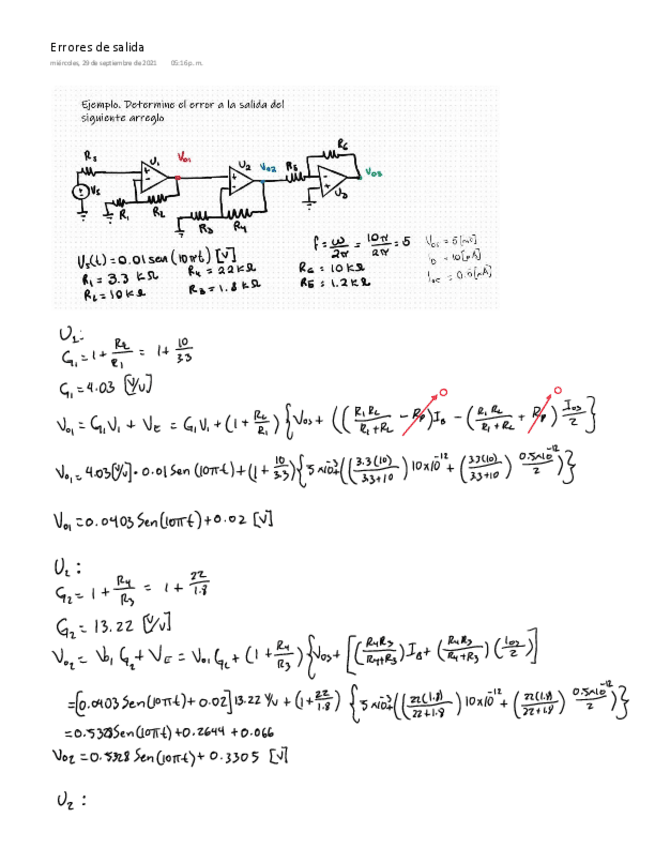
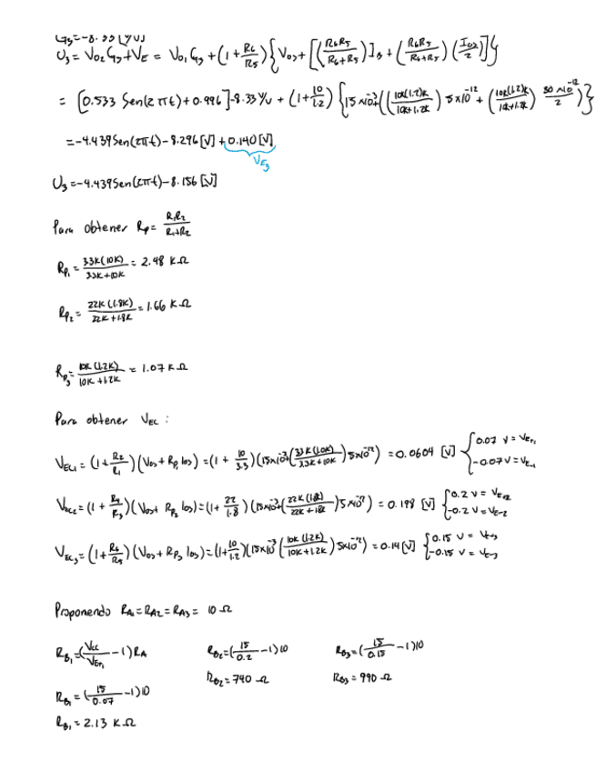
He publicado nuevos ejercicios de 7º Sistemas Electrónicos Lineales: Ejercicio-Errores-de-salida.pdf

2 páginas

He publicado nuevos ejercicios de 7º Sistemas Electrónicos Lineales: Ejercicio-Operaciones-en-cascada.pdf

4 páginas

He publicado nuevos ejercicios de 7º Sistemas Electrónicos Lineales: Ejercicio-Configuraciones.pdf

3 páginas

He publicado nuevos apuntes de 7º Sistemas Electrónicos Lineales: Amplificadores-de-Potencia.pdf

8 páginas

He publicado nuevos apuntes de 7º Sistemas Electrónicos Lineales: Aplicacion-de-control.pdf

1 página

He publicado nuevos apuntes de 7º Sistemas Electrónicos Lineales: Modulacion-por-ancho-de-pulso.pdf

2 páginas

He publicado nuevos apuntes de 7º Sistemas Electrónicos Lineales: Generadores-de-senal.pdf

14 páginas

He publicado nuevos apuntes de 7º Sistemas Electrónicos Lineales: Circuitos-integrados-comparadores.pdf

2 páginas

He publicado nuevos apuntes de 7º Sistemas Electrónicos Lineales: Comparador-de-ventana.pdf

3 páginas

He publicado nuevos apuntes de 7º Sistemas Electrónicos Lineales: Comparador-de-histeresis.pdf

7 páginas

He publicado nuevos apuntes de 7º Sistemas Electrónicos Lineales: Comparador-de-lazo-abierto.pdf

4 páginas

He publicado nuevos apuntes de 7º Sistemas Electrónicos Lineales: Funcion-de-transferencia-de-un-filtro.pdf

5 páginas

He publicado nuevos apuntes de 7º Sistemas Electrónicos Lineales: Filtros-de-segundo-orden.pdf

11 páginas

He publicado nuevos apuntes de 7º Sistemas Electrónicos Lineales: Filtros-de-primer-orden.pdf

5 páginas

He publicado nuevos apuntes de 7º Sistemas Electrónicos Lineales: Filtros.pdf

6 páginas

He publicado nuevos apuntes de 7º Sistemas Electrónicos Lineales: Seleccionar-AOs.pdf

2 páginas

He publicado nuevos apuntes de 7º Sistemas Electrónicos Lineales: AO-con-capacitores-Derivador-e-Integrador.pdf

6 páginas

He publicado nuevos apuntes de 7º Sistemas Electrónicos Lineales: Errores-dinamicos-en-el-AO.pdf

5 páginas

He publicado nuevos apuntes de 7º Sistemas Electrónicos Lineales: Errores-en-el-AO.pdf

10 páginas

He publicado nuevos apuntes de 7º Sistemas Electrónicos Lineales: Adecuaciones-de-niveles-de-voltaje-para-sensores-con-AO.pdf

2 páginas

He publicado nuevos apuntes de 7º Sistemas Electrónicos Lineales: Conectar-AO-en-la-vida-real.pdf

1 página

He publicado nuevos apuntes de 7º Sistemas Electrónicos Lineales: Modelo-real-del-AO.pdf

5 páginas

He publicado nuevos apuntes de 7º Sistemas Electrónicos Lineales: Etapas-en-cascada.pdf

3 páginas

He publicado nuevos apuntes de 7º Sistemas Electrónicos Lineales: AO-Restador.pdf

1 página

He publicado nuevos apuntes de 7º Sistemas Electrónicos Lineales: AO-Sumador.pdf

1 página

He publicado nuevos apuntes de 7º Sistemas Electrónicos Lineales: Seguidor-de-voltaje.pdf

1 página

He publicado nuevos apuntes de 7º Sistemas Electrónicos Lineales: AO-no-inversor.pdf

1 página

He publicado nuevos apuntes de 7º Sistemas Electrónicos Lineales: Amplificador-Operacional.pdf

3 páginas

He publicado nuevos apuntes de 7º Sistemas Electrónicos Lineales: AO-inversor.pdf

2 páginas

He publicado nuevos apuntes de 7º Sistemas Electrónicos Lineales: Conceptos-preliminares.pdf

5 páginas

He publicado nuevos apuntes de 7º Sistemas Electrónicos Lineales: SELP4.pdf

6 páginas

He publicado nuevos apuntes de 7º Sistemas Electrónicos Lineales: SELT01RiosTorresBrenda.pdf

5 páginas

He publicado nuevos apuntes de 7º Sistemas Electrónicos Lineales: GAAA-Tarea03B.pdf

3 páginas

He publicado nuevos apuntes de 7º Sistemas Electrónicos Lineales: GAAA-Tarea03A.pdf

3 páginas

He publicado nuevos apuntes de 7º Sistemas Electrónicos Lineales: GAAA-Tarea03C.pdf

3 páginas

He publicado nuevos apuntes de 7º Sistemas Electrónicos Lineales: APUNTES-SEL.pdf

24 páginas
¡Estás al día!

¡Estás al día!

Has visto todos los archivos