Sistemas energéticos avanzados en la ingeniería

chevron_left
chevron_right
Todo
Apuntes
Ejercicios
Exámenes
chevron_left
chevron_right

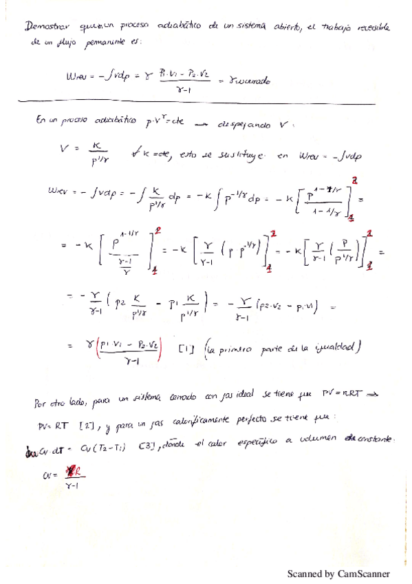
He publicado nuevos apuntes de 1º Sistemas energéticos avanzados en la ingeniería: Resumen-Bloque-3.pdf

13 páginas

He publicado nuevos apuntes de 1º Sistemas energéticos avanzados en la ingeniería: Resumen-Bloque-2-y-preguntas-examen.pdf

10 páginas

He publicado nuevos apuntes de 1º Sistemas energéticos avanzados en la ingeniería: Resumen-Bloque-1-y-preguntas-examen.pdf

12 páginas

ejercicios

-

Problemas resueltos

He publicado nuevos ejercicios de 1º Sistemas energéticos avanzados en la ingeniería: Problemas resueltos

ejercicios-de-sistemas-energeticos.pdf
problemas-sistemas-energeticos.pdf
problema-de-eolica.pdf

examenes

-

Exámenes resueltos

He publicado nuevos examenes de 1º Sistemas energéticos avanzados en la ingeniería: Exámenes resueltos

ejercicio-teorico-de-examen-sistemas-energeticos.pdf
examen-sistemas-energeticos-primera-parte-2019.pdf
examen-parcial-2018-sistemas-energeticos.pdf
segunda-parte-examen-febrero-sistemas-energeticos-2019.pdf
segunda-parcial-sistemas-energeticos-2019.pdf

He publicado nuevos ejercicios de 1º Sistemas energéticos avanzados en la ingeniería: SEA Problemas.pdf

9 páginas

He publicado nuevos apuntes de 1º Sistemas energéticos avanzados en la ingeniería: SEA Apuntes.pdf

26 páginas
¡Estás al día!

¡Estás al día!

Has visto todos los archivos