chevron_left
chevron_right
Todo
Apuntes
Ejercicios
Exámenes
chevron_left
chevron_right

ejercicios

-

Engranajes y Mecanismos Reductores

He publicado nuevos ejercicios de 1º Sistemas Mecánicos: Engranajes y Mecanismos Reductores

Engranajes-y-Mecanismos-Reductores.pdf

ejercicios

-

Equilibrados y Dinámica de Mecanismos

He publicado nuevos ejercicios de 1º Sistemas Mecánicos: Equilibrados y Dinámica de Mecanismos

Equilibrados-y-Dinamica-de-Mecanismos.pdf

ejercicios

-

CM y Matriz de Inercia

He publicado nuevos ejercicios de 1º Sistemas Mecánicos: CM y Matriz de Inercia

CM-y-Matriz-de-Inercia.pdf

ejercicios

-

Ventaja mecánica

He publicado nuevos ejercicios de 1º Sistemas Mecánicos: Ventaja mecánica

Ej-Ventaja-Mecanica-2-468.pdf

ejercicios

-

Cinemática

He publicado nuevos ejercicios de 1º Sistemas Mecánicos: Cinemática

Ejercicios-cinematica-7-examen.pdf
Ej.-cinematica-4-5.pdf
Ej.-cinematica-1-3.pdf

ejercicios

-

Ejercicios de los pdfs

Por si os sirve para algo

Apuntes-teoria-PEI-1.pdf
Cinetica-y-aceleraciones.pdf
Dinamica-de-mecanismos-planos.pdf
Equilibrado.pdf
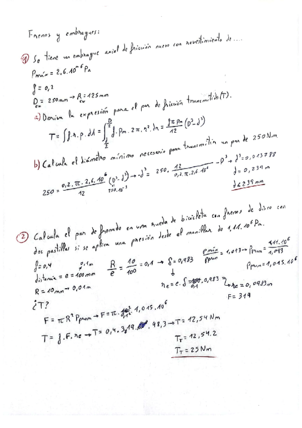
Frenos-y-embragues.pdf
Inercia.pdf

He publicado nuevos apuntes de 1º Sistemas Mecánicos: frenos-y-embragues.pdf

2 páginas

He publicado nuevos apuntes de 1º Sistemas Mecánicos: Sistemas-mecanicos-teoria-T1-5.pdf

5 páginas

He publicado nuevos ejercicios de 1º Sistemas Mecánicos: Ejercicios-Resueltos-Clase-y-Examen.pdf

42 páginas

He publicado nuevos apuntes de 1º Sistemas Mecánicos: T6-Apuntes-de-clase.pdf

3 páginas

He publicado nuevos ejercicios de 1º Sistemas Mecánicos: T7-Ejercicios-resueltos.pdf

3 páginas

He publicado nuevos ejercicios de 1º Sistemas Mecánicos: Ejercicio-7-Cinematica-de-mecanismos.pdf

6 páginas

He publicado nuevos ejercicios de 1º Sistemas Mecánicos: Mecanica-ejercicios-ventaja-mecanica-tema-6.pdf

4 páginas

He publicado nuevos ejercicios de 1º Sistemas Mecánicos: Mecanica-ejercicios-tema-12-frenos-y-embragues.pdf

1 página

He publicado nuevos ejercicios de 1º Sistemas Mecánicos: Mecanica-ejercicios-tema-9-levas.pdf

2 páginas

He publicado nuevos ejercicios de 1º Sistemas Mecánicos: Mecanica-ejercicios-tema-4.pdf

4 páginas

He publicado nuevos examenes de 1º Sistemas Mecánicos: Parcial-resuelto-Marzo2021.pdf

9 páginas

ejercicios

-

Ejercicios y apuntes 2021-22

He publicado nuevos ejercicios de 1º Sistemas Mecánicos: Ejercicios y apuntes 2021-22

Ejercicios-Dinamica.pdf
Ejercicios-Reductoras.pdf
Ejercicios-cinematica.pdf
Ejercicios-Equilibrado.pdf
Tema-3-ejercicios.pdf
Tema-4-Apuntes.pdf
Anónimo

@Anónimo

He publicado nuevos apuntes de 1º Sistemas Mecánicos: Apuntes-sistemas-mecanicos.pdf

4 páginas

Respuesta a una pregunta de examen

1 página

Ejercicio de examen

1 página

Ejercicio de examen

1 página

Pregunta tipo test de un examen resuelta

1 página

He publicado nuevos ejercicios de 1º Sistemas Mecánicos: Ej-T-10-Trenes-de-engranajes.pdf

5 páginas

He publicado nuevos ejercicios de 1º Sistemas Mecánicos: Ej-T-8-Dinamica-de-mecanismos-planos.pdf

6 páginas

He publicado nuevos ejercicios de 1º Sistemas Mecánicos: EJ.pdf

5 páginas

He publicado nuevos ejercicios de 1º Sistemas Mecánicos: VENTAJA-MECANICA.pdf

8 páginas

ejercicios

-

Velocidades y aceleraciones

He publicado nuevos ejercicios de 1º Sistemas Mecánicos: Velocidades y aceleraciones

Problema-0.pdf
Problema-1.pdf
Problema-2.pdf
Problema-3.pdf
Problema-5.pdf
Problema-12.pdf

apuntes

-

EyRM

He publicado nuevos apuntes de 1º Sistemas Mecánicos: EyRM

entregable2.pdf
EjercicioevaluableEyRM2.jpg
T1-EyRm.pdf
T5-EyRM.pdf
T6-EyRM.pdf
EjercicioevaluableEyRM1.jpg

He publicado nuevos examenes de 1º Sistemas Mecánicos: PEI2-2021-Solucion-y-Enunciados.pdf

10 páginas

apuntes

-

EyRM

He publicado nuevos apuntes de 1º Sistemas Mecánicos: EyRM

Tema-1-EyRM.pdf
Anónimo

@Anónimo

He publicado nuevos apuntes de 1º Sistemas Mecánicos: ExamenParcialsegundo2020OnLineSolucion-Y-criteriosv2.pdf

13 páginas
Anónimo

@Anónimo

He publicado nuevos apuntes de 1º Sistemas Mecánicos: ExamenFinalOrdinario2020online.pdf

6 páginas
Anónimo

@Anónimo

apuntes

-

Examenes 2020

He publicado nuevos apuntes de 1º Sistemas Mecánicos: Examenes 2020

ExamenParcialprimero2020v2SOLUCION.pdf
ExamenParcialsegundo2020OnLineSolucion-Y-criteriosv2.pdf
¡Estás al día!

¡Estás al día!

Has visto todos los archivos