chevron_left
chevron_right
Todo
Apuntes
Ejercicios
chevron_left
chevron_right

ejercicios

-

Ejercicios

He publicado nuevos ejercicios de 3º Sistemas Trifásicos y Máquinas Eléctricas: Ejercicios

Ejercicio-entregable-trifasica.pdf
Ejercicios-trifasica.pdf
Ejercicios-entregables-transformadores.pdf
Ejercicios-MAs.pdf

apuntes

-

Apuntes

He publicado nuevos apuntes de 3º Sistemas Trifásicos y Máquinas Eléctricas: Apuntes

Resumen-primer-parcial.pdf
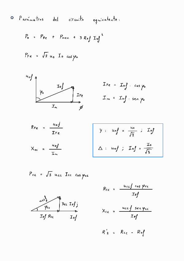
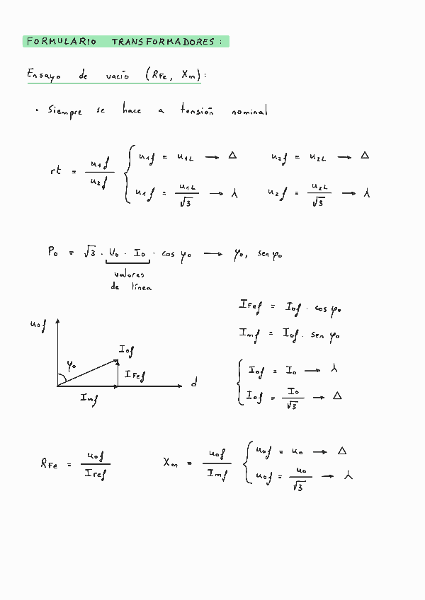
Formulario-transformadores.pdf
Resumen-segundo-parcial-actualizado.pdf
Resumen-tercer-parcial.pdf
Formulario-Mas.pdf
¡Estás al día!

¡Estás al día!

Has visto todos los archivos