Structural analysis

chevron_left
chevron_right
Todo
Apuntes
Ejercicios
Exámenes
Prácticas
Trabajos
chevron_left
chevron_right

He publicado nuevos apuntes de 3º Structural analysis: Resumen-Estrus-parcial-2.pdf

4 páginas

He publicado nuevos apuntes de 3º Structural analysis: Resumen-Estrus-parcial-1.pdf

4 páginas

He publicado nuevos trabajos de 3º Structural analysis: SemicircunferenceProject.pdf

7 páginas

He publicado nuevos trabajos de 3º Structural analysis: PlatesCourseworkReport.pdf

23 páginas

apuntes

-

Formularies

He publicado nuevos apuntes de 3º Structural analysis: Formularies

Formulary-E1.pdf
Formulary-E2.pdf

practicas

-

Practices 1-5

He publicado nuevos practicas de 3º Structural analysis: Practices 1-5

Practice-3.pdf
Practice-4.pdf
Practice-2.pdf
Practice-1.pdf
Practice-5.pdf

He publicado nuevos examenes de 3º Structural analysis: Structuresformulaemidterm.pdf

2 páginas

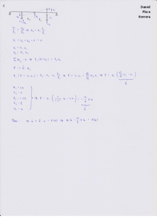
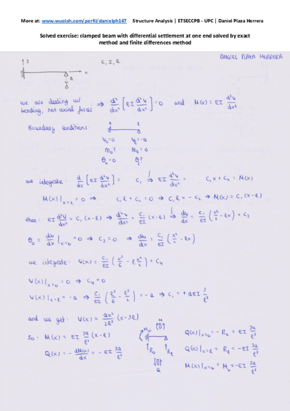
He publicado nuevos ejercicios de 3º Structural analysis: SolvedExerciseClampedSettlementExactFiniteDifferences.pdf

2 páginas
¡Estás al día!

¡Estás al día!

Has visto todos los archivos